Modello elastico non lineare

Una tipica curva di sollecitazione-deformazione di un modello di materiale non lineare è:

fig_1.gif

Per il caso particolare della cronologia della sollecitazione in relazione a carico proporzionale, in cui i componenti di tensore di sollecitazione variano ripetitivamente a velocità costante fra loro, le deformazioni possono essere espresse in termini di stato finale di sollecitazione nella forma seguente:

7.gif

Ds è la matrice del materiale secante, Es è il modulo secante, ν è il coefficiente di Poisson

Per integrare questo modello, è necessario definire il coefficiente di Poisson e una curva di sollecitazione-deformazione del materiale.

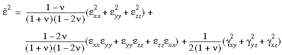
Viene utilizzato il vettore di deformazione totale ε per calcolare la deformazione effettiva ε(bar) per ottenere il modulo secante dalla curva di sollecitazione-deformazione del materiale definita dall'utente. Per il caso 3D:

8.gif

La curva di sollecitazione-deformazione dal terzo (compressione) al primo (trazione) quadrante è applicabile a questo modello per gli elementi bidimensionali e tridimensionali con qualche modifica. Viene utilizzato un metodo di interpolazione per ottenere il modulo del materiale secante e quello tangente. Definendo un coefficiente R, funzione della deformazione volumetrica Φ, deformazione effettiva e il coefficiente di Poisson, R ha la seguente espressione:

9.gif

Si è osservato che R = 1 rappresenta il caso di trazione monoassiale e R = -1 rappresenta la compressione. Questi due casi sono impostati come limite inferiore e limite superiore in modo che, se R supera questi valori, il software fa in modo che rientri nei limiti. È possibile utilizzare il modello dei materiali elastici non lineari con mese solide e di shell.