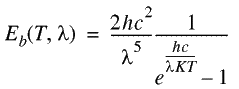
Distribuzione di Planck

La legge di Planck fornisce l'intensità dell'irraggiamento da un corpo nero come funzione della lunghezza dell'onda (o frequenza).

Dove:

h = Costante di Planck = 6.6262X10-34 joule.sec

c = Velocità delle luce nel vuoto

λ = Lunghezza d'onda dell'irraggiamento emesso

K = Costante di Boltzmann

T = Temperatura assoluta