Questo criterio si basa sul presupposto che in stato di snervamento, la sollecitazione al taglio massima in tutti i punti di un mezzo è la stessa ed è uguale alla metà della sollecitazione di snervamento ottenuta dal test di tensione uniassiale per lo specifico materiale.
Nel caso tridimensionale, lo snervamento ha luogo se almeno una delle ineguaglianze è soddisfatta:

In altre parole, lo snervamento è basato sulla sollecitazione al taglio massimo che è uguale alla metà della differenza tra le sollecitazioni massima e minima. In base a questo criterio, la sollecitazione principale intermedia non influenza lo stato di snervamento.
In alcuni riferimenti e codici di disegno, la sollecitazione equivalente Tresca è definita come il doppio della sollecitazione al taglio massima che è equivalente a (σ1 – σ3) o l'intensità della sollecitazione.
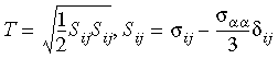
Intensità di sollecitazione al taglio
L'intensità di sollecitazione al taglio è definita dalla radice quadrata della seconda invariabile della deviante di sollecitazione e può essere espressa come:
Stato di taglio puro
Lo stato di taglio puro è definito come:
Per questo stato, l'intensità di sollecitazione al taglio e la sollecitazione al taglio massima sono equivalenti:
Utilizzando le condizioni Tresca, la sollecitazione al taglio nel punto di snervamento è pari alla metà della sollecitazione di snervamento di trazione:
In base al criterio di snervamento von Mises, la sollecitazione di snervamento al taglio è equivalente a:
- Per il modello Tresca sono disponibili le regole di indurimento isotropo e cinematico. Un abbinamento lineare dell'indurimento isotropico e cinematico viene implementato quando sia il raggio che il centro della superficie nello spazio deviatorico possono variare rispetto alla cronologia del caricamento.
- Il Fattore di indurimento definisce la proporzione dell'indurimento cinematico e isotropico.
- Per l'indurimento puro isotropico, il Fattore di indurimento ha il valore 0. Il raggio della superficie si espande ma il suo centro rimane fisso nello spazio deviatorico.
- Per l'indurimento puro cinematico, il Fattore di indurimento ha il valore 1. Il raggio della superficie rimane costante mentre il suo centro può spostarsi nello spazio deviatorico.'