Smorzamento Rayleigh

La matrice di smorzamento simmetrico n x n [C] è formulata come una combinazione lineare delle matrici di massa [M] e rigidità [K]:

 (Equazione 1)

  • Coefficiente Alpha: imposta il coefficiente proporzionale alla massa α.
  • Coefficiente Beta: imposta il coefficiente proporzionale alla rigidezza β.

Il tipo di smorzamento descritto da (Equazione 1) è conosciuto come Rayleigh o smorzamento proporzionale.

Questa forma di [C] è ortogonale rispetto ai vettori eigen del sistema.

Applicando la trasformazione delle coordinate modali, la matrice di smorzamento modale [c] diventa diagonale:

 (Equazione 2)

Lo smorzamento Rayleigh può essere definito per gli studi dinamici lineari e non lineari.

Relazione dei coefficienti Rayleigh e rapporto di smorzamento modale

La matrice di smorzamento modale [c] è data da:

 (Equazione 3)

Il coefficiente di smorzamento viscoso ci per la modalità ith viene calcolata in questo modo:

 (Equazione 4),

e il rapporto di smorzamento viscoso ζi viene espresso con

 (Equazione 5)

Se i rapporti di smorzamento dalla modalità ith e jth sono ζi e ζj, i coefficienti Rayleigh α e β saranno calcolati dalla soluzione delle due equazioni algebriche:

 (Equazione 6)

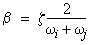
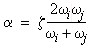
Se entrambe le modalità hanno lo stesso rapporto di smorzamento ( ζi = ζj = ζ) , i valori di α e β sono dati da:

 (Equazione 7) (Equazione 8)

Il rapporto di smorzamento viscoso ζ per qualsiasi altra modalità varia con la frequenza nel modo illustrato nella figura: