Expand ВведениеВведение
Expand АдминистрированиеАдминистрирование
Expand Интерфейс пользователяИнтерфейс пользователя
Expand Основные принципы SolidWorksОсновные принципы SolidWorks
Expand Переход из  2D в 3DПереход из 2D в 3D
Expand СборкиСборки
Expand CircuitWorksCircuitWorks
Expand КонфигурацииКонфигурации
Expand SolidWorks CostingSolidWorks Costing
Expand Design CheckerDesign Checker
Expand Исследования проектирования в SolidWorksИсследования проектирования в SolidWorks
Expand Чертежи и оформлениеЧертежи и оформление
Expand DFMXpressDFMXpress
Expand DriveWorksXpressDriveWorksXpress
Expand FloXpressFloXpress
Expand Импорт и экспортИмпорт и экспорт
Expand Крупномасштабный проектКрупномасштабный проект
Expand Отображение моделиОтображение модели
Expand Проектирование литейной формыПроектирование литейной формы
Expand Исследования движенияИсследования движения
Expand Детали и элементыДетали и элементы
Expand МаршрутМаршрут
Expand Листовой металлЛистовой металл
Collapse SimulationSimulation
Добро пожаловать в интерактивную справку программы SolidWorks Simulation
Доступ к Справке
Условные обозначения
Юридическая информация
Collapse Предпосылки анализаПредпосылки анализа
Expand Основные принципы моделированияОсновные принципы моделирования
Expand Настройки моделированияНастройки моделирования
Expand Исследования SimulationИсследования Simulation
Expand Исследования проектированияИсследования проектирования
Expand Исследование 2D упрощенияИсследование 2D упрощения
Expand Составные оболочкиСоставные оболочки
Expand Нагрузки и ограниченияНагрузки и ограничения
Expand Создание сеткиСоздание сетки
Expand Свойства материаловСвойства материалов
Expand НастройкиНастройки
Expand Библиотека анализовБиблиотека анализов
Expand Просмотр результатовПросмотр результатов
Expand Отчеты исследованийОтчеты исследований
Expand Проверка результирующих напряженийПроверка результирующих напряжений
Expand SimulationXpressSimulationXpress
Expand ЭскизЭскиз
Expand Продукты SustainabilityПродукты Sustainability
Expand SolidWorks UtilitiesSolidWorks Utilities
Expand ОтклоненияОтклонения
Expand ToolboxToolbox
Expand Сварные деталиСварные детали
Expand Workgroup PDMWorkgroup PDM
Expand Устранение неполадокУстранение неполадок
Expand ГлоссарийГлоссарий
Скрыть содержание

Процедура анализа - Гармонический

Гармонический анализ оценивает максимальную реакцию системы в установившемся состоянии на гармонические нагрузки.

На каждом шагу решения все приложенные нагрузки и возбуждения основания имеют одинаковую частоту. Величины определены ассоциированными кривыми частот.

Предполагаем, что гармонический узловой вектор силы {Р} определен как:

(Уравнение 1) или (Уравнение 2),

где:

 Рk является величиной силы в направлении k степени свободы

w является частотой возбуждения, а

 gk является фазовым углом силы.

Для линейных систем уравнения движения системы разделяются на n модальных уравнений:

(Уравнение 3).

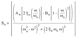
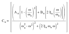
Подстановка вектора силы {Р} в (Уравнение 3) приводит к:

(Уравнение 4), где

  (Уравнение 5)

Решение в установившемся состоянии в (Уравнение 4) дает:

(Уравнение 6).

Вещественная часть (Уравнение 6) равна:

(Уравнение 7), где

(Уравнение 8) и (Уравнение 9).

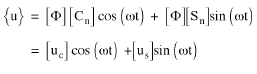
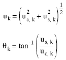
Вектор перемещения u получается из:

(Уравнение 10) или

(Уравнение 11).

Величина перемещения uk и соответствующий фазовый угол qk для k степени свободы находятся:

(Уравнение 12).

Частотные характеристики скорости и ускорения получены из производных (Уравнения 11). Их амплитуды равны:

(Уравнение 13).

Фазовые углы скоростей и ускорений сдвинуты по фазе на 900 и 1800 относительно фазовых углов перемещения.



Оставьте отзыв об этом разделе

SOLIDWORKS благодарит Вас за отзыв по поводу представления, точности и полноты документации. Воспользуйтесь формой ниже, чтобы отправить свои комментарии и предложения о данном разделе справки в Отдел документации. Отдел документации не предоставляет ответы на вопросы по технической поддержке. Нажмите здесь для получения информации о технической поддержке.

* Обязательно

 
*Электронная почта:  
Тема:   Отзывы по поводу разделов Справки
Страница:   Процедура анализа - Гармонический
*Отзыв:  
*   Я подтверждаю, что прочитал(а) и принимаю положения политики конфиденциальности, в соответствии с которыми Dassault Systèmes будет использовать мои персональные данные.

Печать разделов

Выберите содержимое для печати:

x

Вы используете более раннюю версию браузера, чем Internet Explorer 7. Для оптимизации отображения рекомендуется обновить Ваш браузер до версии Internet Explorer 7 или новее.

 Больше не отображать это сообщение
x

Версия содержимого веб-справки: SOLIDWORKS 2012 SP05

Чтобы отключить веб-справку в программе SOLIDWORKS и использовать локальную версию справки, нажмите Справка > Использовать веб-справку по SOLIDWORKS .

По проблемам, связанным с интерфейсом и поиском по веб-справке, обращайтесь к местному представителю службы поддержки. Чтобы оставить отзыв по отдельным темам справки, воспользуйтесь ссылкой "Отзыв об этом разделе" на странице нужного раздела.