Критерий Tsai-Wu применяется для определения запаса прочности композитных ортотропных оболочек.
Настоящий критерий учитывает суммарную энергию деформации (энергия формоизменения и энергию расширения) для прогнозирования разрушений. Данный критерий более полный, чем критерий разрушения Tsai-Hill, так как он различает пределы прочности на сжатие и растяжение.
Для состояния напряжения 2D (двухмерной) плоскости (σ3 = 0, τ13 =0, τ23 =0) критерий разрушения Tsai-Wu выражается следующим образом:

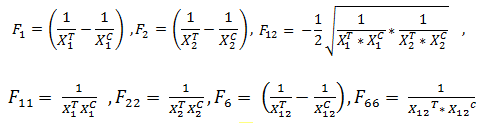
Коэффициенты Fij в ортотропном критерии разрушения Tsai-Wu связаны с параметрами прочности слоистого материала и определяются экспериментально. Они вычисляются по следующим формулам:

- XT1
- предел прочности слоистого материала при растяжении вдоль направления волокон
- XC1
- предел прочности слоистого материала при сжатии вдоль направления волокон
- XT2
- предел прочности слоистого материала при растяжении поперек направления волокон
- XC2
- предел прочности слоистого материала при сжатии поперек направления волокон
- XT12
- положительный предел прочности слоистого материала при сдвиге
- XC12
- отрицательный предел прочности слоистого материала (решающая программа считает его равным положительному пределу прочности)
Состояние напряжения слоистого материала, вычисляемое программой, описывается следующими компонентами: σ
1, σ
2 и τ
12- σ1
- напряжение слоистого материала вдоль направления волокон
- σ2
- напряжение слоистого материала поперек направления волокон
- τ12
- Напряжение сдвига слоистого материала
См. как определены Основные направления составных слоистых материалов.
Программа сообщает коэффициент безопасности, на который следует умножить все компоненты напряжения слоистого материала, чтобы добиться условий разрушения слоистого материала, соответствующих сформулированному выше критерию Tsai-Wu. Коэффициент безопасности для разрушения слоистого материала вычисляется по формуле:
, где коэффициенты заданы следующим образом:

Если запас прочности больше 1,0, данный слоистый материал безопасен в отношении разрушения.
Внимание: Критерий разрушения Tsai-Wu не прогнозирует различные формы разрушений, включая разрушение волокон, матрицы и волоконно-матричного сопряжения.