Das Tsai-Wu-Versagenskriterium wird angewendet, um den Faktor der Sicherheitsverteilung für orthotrope Verbundstoffschalen zu ermitteln.
Dieses Kriterium berücksichtigt bei der Vorhersage von Versagenssituationen die gesamte Dehnungsenergie (Ausdehnungs- und Verzerrungsenergie). Es ist allgemeinerer Art als das Tsai-Hill-Versagenskriterium, da es zwischen dem Versagen hinsichtlich der Druck- und Zugfestigkeit unterscheidet.
Für einen 2D-Zustand planarer Spannung (σ3 = 0, τ13 =0, τ23 =0) wird das Tsai-Wu-Versagenskriterium wie folgt ausgedrückt:

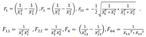
Die Koeffizienten Fij des orthotropen Tsai-Wu-Versagenskriteriums beziehen sich auf die Materialstärkeparameter des Verbunds und werden durch Experimente ermittelt. Sie werden mit den folgenden Formeln berechnet:

- XT1
- Zugfestigkeit des Verbundmaterials entlang der Faserrichtung
- XC1
- Druckfestigkeit des Verbundmaterials entlang der Faserrichtung
- XT2
- Zugfestigkeit des Verbundmaterials quer zur Faserrichtung
- XC2
- Druckfestigkeit des Verbundmaterials quer zur Faserrichtung
- XT12
- positive Schubfestigkeit des Verbunds
- XC12
- negative Schubfestigkeit des Verbunds (im Gleichungslöser entspricht sie der positiven Schubfestigkeit)
Der durch das Programm berechnete Spannungszustand des Verbunds wird durch die folgenden Komponenten beschrieben: σ
1, σ
2 und τ
12- σ1
- Verbundspannung entlang der Faserrichtung
- σ2
- Verbundspannung quer zur Faserrichtung
- τ12
- Verbundscherspannung
Informieren Sie sich über die Definition der Hauptmaterialrichtungen von Verbundstoff-Lagen.
Das Programm ermittelt den Sicherheitsfaktor, der dem Koeffizienten entspricht, mit dem alle Verbundspannungskomponenten multipliziert werden sollten, um das Verbundversagen gemäß dem oben angegebenen Tsai-Wu-Kriterium zu ermitteln. Der Sicherheitsfaktor für das Verbundversagen wird berechnet über:
, wobei die Koeffizienten angegeben werden durch:

Ein Sicherheitsfaktor größer als 1,0 gibt an, dass der Verbund eine angemessene Sicherheit aufweist.
Achtung: Das Tsai-Wu-Versagenskriterium kann keine unterschiedlichen Versagensmodi (einschließlich Faserversagen, Matrixversagen oder Faser-Matrix-Grenzschichtversagen) vorhersagen.