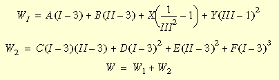
Функция плотности энергии деформации для модели Mooney-Rivlin выражается в следующем виде:

где I, II и III являются неизменяющимися (инвариантными) значениями правого тензора деформации Коши-Грина и могут выражаться в виде коэффициентов основного растяжения; A, B, C, D, E и F являются постоянными Mooney для материала, и

Следует обратить внимание на следующее обстоятельство: при достижении материалом уровня несжимаемости, третье неизменяемое значение III приближается к единице, а Y приближается к бесконечности. Соответственно, значение коэффициента Пуассона приближается к 0,5, последнее значение в W1 остается в установленных пределах с возможностью получения решения.
Модель материала по Mooney-Rivlin может использоваться с твердотельными элементами и плотными оболочками. Свойства материала модели Mooney-Rivlin используются в качестве входных данных в диалоговом окне Материал. В качестве входных данных могут использоваться до шести постоянных модели Mooney-Rivlin: Mooney_A, Mooney_B, Mooney_C, Mooney_D, Mooney_E и Mooney_F.
Постоянные Mooney-Rivlin рассчитываются автоматически при выборе параметра Использовать данные диаграммы для расчета постоянных материала в диалоговом окне Материал. Постоянные сохраняются в текстовом файле с расширением log в папке активных результатов исследования.