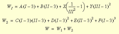
La función de densidad de energía de deformación unitaria de Mooney-Rivlin se expresa como:

donde I, II y III son constantes del tensor de deformación de Cauchy-Green derecho y pueden expresarse en términos de cocientes de estiramiento principales; A, B, C, D, E y F son constantes de materiales de Mooney.

A medida que el material se acerca a la incompresibilidad, debe tenerse en cuenta que la tercera constante III se acerca a la unidad mientras que Y se acerca al infinito. Por lo tanto, en los valores del coeficiente de Poisson cercanos a 0,5, el último término en W1 permanece dentro de los límites y es posible obtener una solución.
El modelo de material de Mooney-Rivlin puede utilizarse con elementos sólidos y vaciados gruesos. Las propiedades de material para el modelo de Mooney-Rivlin se introducen en el cuadro de diálogo Material. Pueden especificarse hasta seis constantes de Mooney-Rivlin: Mooney_A, Mooney_B, Mooney_C, Mooney_D, Mooney_E y Mooney_F.
Las constantes de Mooney-Rivin se calculan automáticamente cuando la opción Usar datos de curva para computar constantes del material en el cuadro de diálogo Material está seleccionada. Estas constantes se guardan en un archivo de texto con la extensión .log en la carpeta de resultados activa para el estudio.