Expand GirişGiriş
Expand YönetimYönetim
Expand Kullanıcı ArayüzüKullanıcı Arayüzü
Expand SolidWorks TemelleriSolidWorks Temelleri
Expand 2B'den 3B'ye geçiş2B'den 3B'ye geçiş
Expand MontajlarMontajlar
Expand CircuitWorksCircuitWorks
Expand KonfigürasyonlarKonfigürasyonlar
Expand SolidWorks CostingSolidWorks Costing
Expand Design CheckerDesign Checker
Expand SolidWorks'te Tasarım EtütleriSolidWorks'te Tasarım Etütleri
Expand Detaylandırma ve Teknik ResimlerDetaylandırma ve Teknik Resimler
Expand DFMXpressDFMXpress
Expand DriveWorksXpressDriveWorksXpress
Expand FloXpressFloXpress
Expand Al ve VerAl ve Ver
Expand Model GörünümüModel Görünümü
Expand Kalıp TasarımıKalıp Tasarımı
Expand Hareket EtütleriHareket Etütleri
Expand Parçalar ve UnsurlarParçalar ve Unsurlar
Expand TesisatTesisat
Expand Sac LevhaSac Levha
Collapse SimülasyonSimülasyon
Expand SimulationXpressSimulationXpress
Expand ÇizmeÇizme
Expand Sustainability ÜrünleriSustainability Ürünleri
Expand SolidWorks UtilitiesSolidWorks Utilities
Expand ToleranslamakToleranslamak
Expand TolAnalystTolAnalyst
Expand ToolboxToolbox
Expand Kaynaklı MontajlarKaynaklı Montajlar
Expand Workgroup PDMWorkgroup PDM
Expand Sorun GidermeSorun Giderme
Terimler
İçindekiler'i Gizle

Hyperelastic Blatz-Ko Model

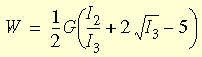
The Blatz-Ko strain energy density function is useful for modeling compressible polyurethane foam type rubbers and can be expressed as:

30.gif

where:
  • G = E / 2(1+ν) is the shear modulus under infinitesimal deformations, E is the Young's modulus of elasticity, ν is Poisson's ratio
  • Ik (k=1,..3) are the invariants of the Cauchy-Green deformation tensor C=Ik ©)
  • C = 2ε +I , ε is the Lagrangian strain tensor and I is the identity matrix.

The above expression, contains only one material constant G. Since ν = 0.25 for the Blatz-Ko model, the only material property which is considered is the Young's modulus.

31.gif

The Blatz-Ko model is currently supported by solid elements only (draft and high quality) elements.

The selected Blatz-Ko model is a simplified form of the expression obtained by Blatz and Ko (1962) to model the deformation of a highly compressible polyurethane foam rubber. The strain energy was approximated by the following expression:

39.gif

where

40.gif

A specific form of this three-parameter family of elastic potential was later proposed in which the following values of the constants α, β, and ν were assumed: α = 0.5, β = 0, and ν = 0.25.



Bu başlık hakkında geribildirimde bulunun

SOLIDWORKS; dokümantasyonun sunumu, doğruluğu ve bütünlüğü hakkında geribildiriminizi almaktan memnuniyet duyar. Bu başlık ile ilgili yorum ve önerilerinizi, aşağıdaki formu kullanarak doğrudan dokümantasyon takımımıza yollayın. Dokümantasyon takımı teknik destek sorularına yanıt veremez. Teknik destek ile ilgili bilgiler için buraya tıklayın.

* Gerekli

 
*Email:  
Konu:   Yardım Başlıkları Hakkında Geribildirim
Sayfa:   Hyperelastic Blatz-Ko Model
*Yorum:  
*   Kişisel Bilgilerimin Dassault Systèmes tarafından kullanılacağının belirtildiği gizlilik politikasını okuduğumu ve kabul ettiğimi onaylıyorum

Yazdırma Başlığı

Yazdırılacak içeriğin kapsamını seçin:

x

Internet Explorer 7'den daha eski bir tarayıcı sürümünü kullandığınızı tespit ettik. Optimize edilmiş görünüm için tarayıcınızı Internet Explorer 7 veya daha yenisine yükseltmenizi öneririz.

 Bu mesajı bir daha asla gösterme
x

Web Yardım İçerik Sürümü: SOLIDWORKS 2013 SP05

SOLIDWORKS içindeki Web yardımını devre dışı bırakmak ve onun yerine yerel yardımı kullanmak için Yardım > SOLIDWORKS Web Yardımını Kullan öğelerine tıklayın.

Web yardımı arabirimi ve araması ile ilgili karşılaştığınız sorunları lütfen yerel destek temsilcinize bildirin. Yardım başlıkları hakkında ayrı ayrı geri bildirimde bulunmak için ilgili başlığın sayfasından "Bu başlık hakkında geribildirim" bağlantısına tıklayın.