Expand GirişGiriş
Expand YönetimYönetim
Expand Kullanıcı ArayüzüKullanıcı Arayüzü
Expand SolidWorks TemelleriSolidWorks Temelleri
Expand 2B'den 3B'ye geçiş2B'den 3B'ye geçiş
Expand MontajlarMontajlar
Expand CircuitWorksCircuitWorks
Expand KonfigürasyonlarKonfigürasyonlar
Expand SolidWorks CostingSolidWorks Costing
Expand Design CheckerDesign Checker
Expand SolidWorks'te Tasarım EtütleriSolidWorks'te Tasarım Etütleri
Expand Detaylandırma ve Teknik ResimlerDetaylandırma ve Teknik Resimler
Expand DFMXpressDFMXpress
Expand DriveWorksXpressDriveWorksXpress
Expand FloXpressFloXpress
Expand Al ve VerAl ve Ver
Expand Model GörünümüModel Görünümü
Expand Kalıp TasarımıKalıp Tasarımı
Expand Hareket EtütleriHareket Etütleri
Expand Parçalar ve UnsurlarParçalar ve Unsurlar
Expand TesisatTesisat
Expand Sac LevhaSac Levha
Collapse SimülasyonSimülasyon
Expand SimulationXpressSimulationXpress
Expand ÇizmeÇizme
Expand Sustainability ÜrünleriSustainability Ürünleri
Expand SolidWorks UtilitiesSolidWorks Utilities
Expand ToleranslamakToleranslamak
Expand TolAnalystTolAnalyst
Expand ToolboxToolbox
Expand Kaynaklı MontajlarKaynaklı Montajlar
Expand Workgroup PDMWorkgroup PDM
Expand Sorun GidermeSorun Giderme
Terimler
İçindekiler'i Gizle

Hyperelastic Ogden Model

The Ogden strain energy density function, defined as:

27.gif

where: λi are the principal streches, αi, μi are material constants, and N is the number of terms in the function, is considered one of the most successful functions in describing the large deformation range of rubber-like materials.

The penalty function used in the formulation of the Ogden model takes the form of the one used in Mooney-Rivlin model. The strain energy function actually used is a modified type of the Ogden function:

28.gif

where J is the ratio of the deformed volume to the undeformed volume, N is the number of terms in the function, G(J) = J2-1, and

29.gif

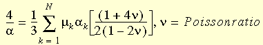
Three-term (modified Ogden) models are widely used. Up to four-term models (N=4) are available in the program.

Besides the material constants mentioned above, Poisson ratio is also required. For most cases, satisfactory results can be obtained by assigning Poisson's ratio from 0.49 to 0.499. Further, increasing the Poisson's ratio will not have significant effect on the numerical results unless considerable volumetric strain is involved.

When the Poisson's ratio is extremely close to 0.5, it may cause solution termination due to negative diagonal terms in the stiffness matrix or lack of convergence.

The material properties for the Ogden model are input through the Material dialog box. The required quantities are:
  • First through Fourth Power material coefficients (αi)
  • First through Fourth material cconstants (μi) (depending on the number of constants).
  • Poisson's ratio


Bu başlık hakkında geribildirimde bulunun

SOLIDWORKS; dokümantasyonun sunumu, doğruluğu ve bütünlüğü hakkında geribildiriminizi almaktan memnuniyet duyar. Bu başlık ile ilgili yorum ve önerilerinizi, aşağıdaki formu kullanarak doğrudan dokümantasyon takımımıza yollayın. Dokümantasyon takımı teknik destek sorularına yanıt veremez. Teknik destek ile ilgili bilgiler için buraya tıklayın.

* Gerekli

 
*Email:  
Konu:   Yardım Başlıkları Hakkında Geribildirim
Sayfa:   Hyperelastic Ogden Model
*Yorum:  
*   Kişisel Bilgilerimin Dassault Systèmes tarafından kullanılacağının belirtildiği gizlilik politikasını okuduğumu ve kabul ettiğimi onaylıyorum

Yazdırma Başlığı

Yazdırılacak içeriğin kapsamını seçin:

x

Internet Explorer 7'den daha eski bir tarayıcı sürümünü kullandığınızı tespit ettik. Optimize edilmiş görünüm için tarayıcınızı Internet Explorer 7 veya daha yenisine yükseltmenizi öneririz.

 Bu mesajı bir daha asla gösterme
x

Web Yardım İçerik Sürümü: SOLIDWORKS 2013 SP05

SOLIDWORKS içindeki Web yardımını devre dışı bırakmak ve onun yerine yerel yardımı kullanmak için Yardım > SOLIDWORKS Web Yardımını Kullan öğelerine tıklayın.

Web yardımı arabirimi ve araması ile ilgili karşılaştığınız sorunları lütfen yerel destek temsilcinize bildirin. Yardım başlıkları hakkında ayrı ayrı geri bildirimde bulunmak için ilgili başlığın sayfasından "Bu başlık hakkında geribildirim" bağlantısına tıklayın.