隐藏目录

创建新的曲线库或编辑现有的库

要创建新的曲线库或编辑现有的库:

  1. 在 Simulation 算例树中,用右键单击算例图标,然后选择定义函数曲线
  2. 函数曲线对话框中:
    1. 浏览选择一个现有的库或者输入新库的名称。Simulation 曲线库的扩展名为 cwcur
    2. 曲线库框中,执行以下操作之一:

      • 右键单击时间曲线,然后选择创建曲线以定义时间曲线。
      • 右键单击温度曲线,然后选择创建曲线以定义温度曲线。
      • 右键单击 S-N 曲线,然后选择创建曲线以定义 S-N 曲线。
      • 右键单击载荷历史曲线,然后选择创建曲线来定义可用来定义可变振幅疲劳事件的载荷历史曲线。
      • 右键单击频率曲线并选择创建曲线以便可为谐波和无规则振动线性动态算例定义振动。

    3. 名称框中,选择要编辑的现有曲线名称或者输入新曲线的名称。
    4. 曲线数据框中,执行以下操作:

      • 根据曲线类型指定所需的单位。
      • 要从外部文本文件输入曲线,请单击文件,然后浏览。
        文件的格式取决于曲线的类型。
      • 要添加新行,请双击列。
      • 根据需要填写 X 和 Y 单元格。可以使用剪切和粘贴来填充曲线。
      • 要删除行,请高亮显示该行,然后单击删除键,或者右键单击该行并选择删除

    5. 单击视图以创建曲线图。

      此范例显示当程序到达超出曲线定义的点时发生的情况。

      当程序到达未提供曲线数据的点时,它会使用根据函数曲线上最后两点所确定的斜率来外推该点处的信息。

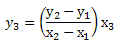
      例如,如果上面的图表是一条应力应变曲线,X 轴代表应变,Y 轴代表应力,则按照如下方法根据应变 x3 的值来计算应力 y3 的值:

    6. 重复步骤 b 到 e 来定义所需数量的曲线,然后单击确定
    7. 单击保存以保存该库。您可以在任何算例中使用库中的曲线。


提供对该主题的反馈

SOLIDWORKS 欢迎您对此文档的外观、准确性及完整性提供反馈。请使用以下表格,将您对该主题的评论和建议直接发送给我们的文档团队。文档团队不能回答技术支持问题。单击此处获取有关技术支持的信息

* 必填

 
*电子邮件:  
主题:   对帮助主题的反馈
页面:   创建新的曲线库或编辑现有的库
*评论:  
*   本人确认已阅读并且接受 Dassault Systèmes 按照《隐私政策》使用本人的个人数据

打印主题

选择要打印的内容范围:

x

我们检测到您在使用旧于 Internet Explorer 7 的浏览器版本。为优化显示,我们建议您将您的浏览器升级到 Internet Explorer 7 或以上。

 永不再显示此信息
x

Web 帮助内容版本:SOLIDWORKS 2013 SP05

要从 SOLIDWORKS 中禁用 Web 帮助并使用本地帮助,请单击帮助 > 使用 SOLIDWORKS Web 帮助

要报告在 Web 帮助界面和搜索中所遇到的问题,请联系您的当地支持代表。要提供单个帮助主题的反馈,请使用单个主题页面上的“对该主题的反馈”链接。