隱藏目錄

Mooney - Rivlin Hyperelastic 模型

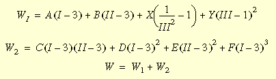
Mooney Rivlin 應變能密度函式如下式所示:

25.gif

其中 I、II 和 III 是右 Cauchy-Green 變形張量的不變量,可以主伸展比例表示;A、B、C、D、E 及 F 是 Mooney 材料常數,而

需注意的是,當材料趨近不可壓縮時,第三不變量 III 會趨近於 1,而 Y 會趨近於無限。因此,若 Poisson 比值接近 0.5,W1 中的最後一項維持約束項,即可求出解答。

Mooney Rivlin 材料模型可應用在實體元素及厚殼。Mooney Rivlin 模型的材料屬性是材料對話方塊中的輸入項目。最多可輸入六個 Mooney Rivlin 常數:Mooney_A、Mooney_B、Mooney_C、Mooney_D、Mooney_E 及 Mooney_F。

當在材料對話方塊中的使用曲線資料來計算材料常數被為選取時,會自動計算 Mooney-Rivin 常數。常數會以文字檔案被儲存在研究的啟用結果資料夾中,且副檔名為 .log。



提供對此主題的意見反應

SOLIDWORKS 歡迎您提供有關於文件呈現方式、正確性、及完整性的意見反應。請使用下方的表格直接將您對此主題的意見與建議傳送給我們的文件團隊。文件團隊並無法回答關於技術支援的問題。按一下此處來獲得關於技術支援的資訊

* 必要的

 
*電子郵件:  
主旨:   說明主題的意見反應
頁面:   Mooney - Rivlin Hyperelastic 模型
*意見:  
*   我承認已閱讀且僅此接受隱私權政策,Dassault Systèmes 將遵循此政策之規定使用我的個人資料

列印主題

選擇要列印的內容範圍:

x

偵測到您使用的瀏覽器版本是舊於 Internet Explorer 7。要獲得最佳的顯示,建議您升級瀏覽器到 Internet Explorer 7 或更新的版本。

 不要再次顯示此訊息
x

Web 式說明內容版本:SOLIDWORKS 2013 SP05

要從 SOLIDWORKS 中停用 Web 式的說明並改用本機說明,請按一下說明 > 使用 SOLIDWORKS Web 式說明

要報告在 Web 式說明介面及搜尋中遇到的問題,請聯絡您當地的技術支援代表。要針對個別說明主題提供意見反應,請使用個別主題頁面中的「提供對此主題的意見反應」連結。