In der folgenden Tabelle sind die zur Bewertung der Sicherheit von Konstruktionen verwendeten Versagenskriterien zusammengefasst.
Kriterium |
Faktor der Sicherheitsverteilung |
Materialtyp |
Maximale von-Mises-Spannung
|
σLimit / σvonMises |
Dehnbar
|
Maximale Schubspannung
|
σ Limit / (2 * τmax ) |
Dehnbar
|
Mohr-Coulomb-Spannung
|
Wenn (σ1 > 0 und σ3 > 0), dann ist (σ1 >= σZuggrenze)
Wenn (σ1 < 0 und σ3 < 0), dann ist (σ3 >= -σDruckgrenze)
- Wenn (σ1 ≥ 0 und σ3 ≤ 0), dann ist (σ1 / σZuggrenze + σ3 / -σDruckgrenze ≥ 1)
|
Spröde Materialien mit verschiedenen Zug- und Druckfestigkeiten
|
Maximale Normalspannung
|
σ Limit / σ1 |
Spröde
|
Kriterium der maximalen Spannung (Verbundstoffe)
|
 Faktor der Sicherheitsverteilung = 1 / F.I.
|
Spröde
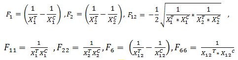
1 und 2 stehen für die Materialrichtungen. X und S bezeichnen die Normal- und Schubspannung des Verbundstoffs.
|
Tsai-Hill-Versagenskriterium (Verbundstoffe) |
 FDS = 1 / SQRT (F.I.)
|
Spröde
|
Tsai-Wu-Versagenskriterium (Verbundstoffe)
|


|
Spröde
|