n x n 대칭 감쇠 행렬 [C]는 질량 [M]과 강성 [K] 행렬의 선형 혼합으로 공식화됩니다.
(수식 1)
- 알파 계수: 질량 비례 계수 α를 지정합니다.
- 베타 계수: 강성 비례 계수 β를 지정합니다.
(수식 1)으로 표현되는 감쇠 유형은 Rayleigh 감쇠 또는 비례 감쇠라고 합니다.
[C] 형식은 시스템 고유 벡터에 대해 대각을 이룹니다.
모드 좌표 변형을 적용하여, 모드 감쇠 행렬 [c]은 대각이 됩니다.
(수식 2)
선형 및 비선형 동적 스터디용으로 Rayleigh 감쇠를 정의할 수 있습니다.
Rayleigh 계수와 모드 감쇠비의 상관 관계
모드 감쇠 행렬 [c]:
(수식 3)
i번째 모드의 점성 감쇠 계수 ci는 다음 식으로 계산됩니다.
(수식 4),
점성 감쇠비 ζi가 다음 식과 같습니다.
(수식 5)
i번째와 j번째 모드의 감쇠비가 ζi와 ζj라면, Rayleigh 계수 α와 β는 다음 2개의 대수 방정식의 해로 계산됩니다.
(수식 6)
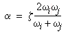
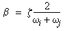
두 모드의 감쇠비가 같은 경우( ζi = ζj = ζ) α와 β의 값은 다음 식과 같습니다.
(수식 7)
(수식 8)
다른 모드의 점성 감쇠비 ζ가 도표에서와 같이 진동수에 따라 달라질 경우:
