Expand IntroduçãoIntrodução
Expand AdministraçãoAdministração
Expand Interface do usuárioInterface do usuário
Expand Fundamentos do SolidWorksFundamentos do SolidWorks
Expand Mudando de 2D para 3DMudando de 2D para 3D
Expand MontagensMontagens
Expand CircuitWorksCircuitWorks
Expand ConfiguraçõesConfigurações
Expand SolidWorks CostingSolidWorks Costing
Expand Design CheckerDesign Checker
Expand Estudos de Projeto no SolidWorksEstudos de Projeto no SolidWorks
Expand Detalhamento e desenhosDetalhamento e desenhos
Expand DFMXpressDFMXpress
Expand DriveWorksXpressDriveWorksXpress
Expand FloXpressFloXpress
Expand Importar e exportarImportar e exportar
Expand Exibição de modeloExibição de modelo
Expand Projeto de moldesProjeto de moldes
Expand Estudos de movimentoEstudos de movimento
Expand Peças e recursosPeças e recursos
Expand RotaRota
Expand Chapa metálicaChapa metálica
Collapse SimulaçãoSimulação
Expand SimulationXpressSimulationXpress
Expand Geração de esboçoGeração de esboço
Expand Produtos SustainabilityProdutos Sustainability
Expand SolidWorks UtilitiesSolidWorks Utilities
Expand TolerânciasTolerâncias
Expand TolAnalystTolAnalyst
Expand ToolboxToolbox
Expand SoldagensSoldagens
Expand Workgroup PDMWorkgroup PDM
Expand Solução de problemasSolução de problemas
Glossário
Ocultar Sumário

Modelo hiperelástico de Ogden

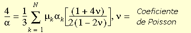
A função de densidade da energia de deformação de Ogden, definida como

27.gif

onde: λi são os trechos principais, αi, μi são constantes do material e N é o número de termos na função, que é considerada uma das funções que melhor descreve a ampla faixa de deformação de materiais semelhantes à borracha.

A função de penalização usada na fórmula do modelo de Ogden assume a forma usada no modelo de Mooney-Rivlin. A função de energia de deformação de fato usada é um tipo modificado da função de Ogden.

28.gif

em que J é o raio do volume deformado ao volume não deformado, N é o número de termos na função, G(J) = J2-1, e

29.gif

Os modelos de 3 termos (Ogden modificado) são amplamente usados. Modelos para até 4 termos (N = 4) estão disponíveis no programa.

Além das constantes de materiais mencionadas acima, o coeficiente de Poisson também é requerido. Para a maioria dos casos, resultados satisfatórios podem ser obtidos atribuindo-se coeficientes de Poisson de 0,49 a 0,499. Além disso, o aumento do coeficiente de Poisson não afeta significativamente os resultados numéricos, a menos que uma deformação volumétrica considerável seja envolvida.

Quando o coeficiente de Poisson está extremamente próxima de 0,5, ele pode causar o término da solução devido aos termos negativos diagonais na matriz de rigidez ou devido à falta de convergência.

As propriedades de material para o modelo Ogden são inseridas na caixa de diálogo Material. As quantidades exigidas são:
  • Coeficientes de materias, da primeira à quarta potência (αi)
  • Constantes de materiais da primeira à quarta potência (μi) (depende da quantidade de constantes).
  • Coeficiente de Poisson


Envie-nos seus comentários sobre este tópico

O SOLIDWORKS agradece seu feedback sobre a apresentação, precisão e nível de detalhe da documentação. Use o formulário abaixo para enviar comentários e sugestões sobre este tópico diretamente à equipe responsável pela documentação. Esta equipe não responde a perguntas de suporte técnico. Clique aqui para ver informações específicas do suporte técnico.

* Obrigatório

 
*E-mail:  
Assunto:   Comentários sobre os tópicos da Ajuda
Página:   Modelo hiperelástico de Ogden
*Comentário:  
*   Eu reconheço que li e aceito, por meio deste, a política de privacidade segundo a qual meus Dados pessoais serão usados pela Dassault Systèmes

Imprimir tópico

Selecione o escopo do conteúdo a imprimir:

x

Foi detectada uma versão de navegador anterior ao Internet Explorer 7. Para uma exibição otimizada, sugerimos a atualização para o Internet Explorer 7 ou posterior.

 Não mostrar essa mensagem novamente
x

Versão do conteúdo de ajuda on-line: SOLIDWORKS 2013 SP05

Para desativar a Ajuda online no SOLIDWORKS e usar a Ajuda local, clique em Ajuda > Usar Ajuda on-line do SOLIDWORKS.

Para relatar problemas encontrados na interface e na pesquisa da Ajuda on-line, consulte seu representante de suporte local. Para fornecer comentários sobre tópicos individuais da Ajuda, use o link “Comentários sobre este tópico” na página do tópico individual.