Закон охлаждения Ньютона устанавливает, что скорость теплопередачи при покидании поверхности при температуре Ts в окружающий газ или жидкость при температуре Tf дается уравнением:
Qконвекции = h A (Ts - Tf)
где коэффициент теплопередачи h имеет единицы измерения Вт/м2.K или БТЕ/с.дюйм2.F. Коэффициент h не является термодинамическим свойством. Он представляет собой упрощенное соотношение для состояния газа или жидкости и условий на поток, и потому часто называется потоковым свойством.
Конвекция связана с концепцией пограничного слоя, которым является тонкий слой перехода между поверхностью, считающейся примыкающей к стационарным, и потоком жидкости ли газа по соседству. Это проиллюстрировано на следующем рисунке для потока поверх плоской пластины.

Здесь u(x,y) – скорость по направлению x. Область поверх внешнего края слоя газа или жидкости, определяемого как 99% свободной скорости потока, называется толщиной пограничного слоя жидкости или газа δ(x).
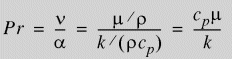
Похожий эскиз можно выполнить для температурного переноса от температуры поверхности к температуре окружения. Схематика изменения температуры дана на следующем рисунке. Отметим, что толщина термического пограничного слоя не обязательно должна быть той же, что у жидкости или газа. Свойства жидкости или газа, которые увязываются в число Прандтля, определяют относительную величину двух типов пограничных слоев. Число Прандтля (Pr), равное 1, вызывало бы одинаково поведение для обоих пограничных слоев.

Актуальный механизм теплопередачи через пограничный слой принимается как проводимость по направлению оси y через стационарную жидкость рядом со стенкой, равная скорости конвекции от пограничного слоя к самой жидкости ли газу. Это можно записать так:
h A (Ts - Tf) = - k A (dT/dy)s
Таким образом, коэффициент конвекции для заданной ситуации может быть оценен измерением скорости теплопереноса и разницы температур или измерением температурного градиента, примыкающего к поверхности, и разницы температур.
Измерение температурного градиента поперек пограничного слоя требует высокой точности и обычно проводится в научно-исследовательских лабораториях. Во многих учебниках приводятся табличные данные коэффициентов конвективной теплопередачи для различных конфигураций.
Следующая таблица показывает некоторые типичные значения для коэффициента конвективной теплопередачи:
| Средний |
Коэффициент теплопередачи h (Вт/м2.K) |
| Воздух (естественная конвекция)
|
5-25
|
| Воздух/перегретый пар (принудительная конвекция)
|
20-300
|
| Масло (принудительная конвекция)
|
60-1800
|
| Вода (принудительная конвекция)
|
300-6000
|
| Вода (кипящая)
|
3000-60,000
|
| Пар (конденсирующийся)
|
6000-120,000
|