La función de densidad de energía de deformación unitaria de Ogden, definida como:

donde: λi es la deformación unitaria principal, αi, μi son constantes de material y N es el número de términos en la función, se considera una de las funciones más correctas para describir el intervalo de grandes deformaciones de materiales tipo caucho/goma.
La función de penalidad utilizada en la fórmula del modelo de Ogden toma la forma de la función utilizada en el modelo de Mooney-Rivlin. La función de energía de deformación unitaria que se utiliza es, en realidad, un tipo modificado de la función de Ogden:

donde J es el cociente del volumen deformado en relación con el volumen no deformado, N es el número de términos en la función, G(J) = J2-1 y

Los modelos de tres términos (modelos de Ogden modificados) se utilizan con gran frecuencia. Hay modelos disponibles de hasta cuatro términos (N=4) en el programa.
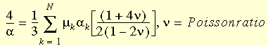
Además de las constantes de material mencionadas anteriormente, también se necesita el coeficiente de Poisson. En la mayoría de los casos, pueden obtenerse resultados satisfactorios al asignar un coeficiente de Poisson de 0.49 a 0.499. Además, el aumento del coeficiente de Poisson no tendrá un efecto significativo en los resultados numéricos, a menos que exista una deformación unitaria volumétrica considerable.
Cuando el coeficiente de Poisson está muy cercano a 0,5, puede provocar la cancelación de la solución debido a los términos diagonales negativos en la matriz de rigidez o a la falta de convergencia.
Las propiedades de material para el modelo de Ogden se introducen en el cuadro de diálogo
Material. Las cantidades requeridas son:
- Primero a cuarto coeficiente de energía de material (αi)
- Primera a cuarta constante de material (μi) (según el número de constantes).
- Coeficiente de Poisson