Expand IntroducciónIntroducción
Expand AdministraciónAdministración
Expand Interfaz de usuarioInterfaz de usuario
Expand Conceptos básicos de SolidWorksConceptos básicos de SolidWorks
Expand Migrar de 2D a 3DMigrar de 2D a 3D
Expand EnsamblajesEnsamblajes
Expand CircuitWorksCircuitWorks
Expand ConfiguracionesConfiguraciones
Expand SolidWorks CostingSolidWorks Costing
Expand Design CheckerDesign Checker
Expand Estudios de diseño en SolidWorksEstudios de diseño en SolidWorks
Expand Dibujos y documentaciónDibujos y documentación
Expand DFMXpressDFMXpress
Expand DriveWorksXpressDriveWorksXpress
Expand FloXpressFloXpress
Expand Importación y exportaciónImportación y exportación
Expand Visualización de modeloVisualización de modelo
Expand Diseño de moldesDiseño de moldes
Expand Estudios de movimientoEstudios de movimiento
Expand Piezas y operacionesPiezas y operaciones
Expand RoutingRouting
Expand Chapa metálicaChapa metálica
Collapse SolidWorks SimulationSolidWorks Simulation
Expand SimulationXpressSimulationXpress
Expand CroquizadoCroquizado
Expand SustainabilitySustainability
Expand SolidWorks UtilitiesSolidWorks Utilities
Expand ToleranciasTolerancias
Expand TolAnalystTolAnalyst
Expand ToolboxToolbox
Expand Piezas soldadasPiezas soldadas
Expand Workgroup PDMWorkgroup PDM
Expand Solución de problemasSolución de problemas
Glosario
Ocultar tabla de contenido

Modelo hiperelástico de Mooney-Rivlin

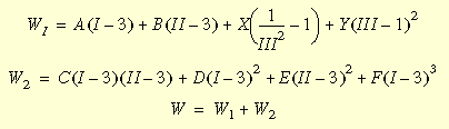
La función de densidad de energía de deformación unitaria de Mooney-Rivlin se expresa como:

25.gif

donde I, II y III son constantes del tensor de deformación de Cauchy-Green derecho y pueden expresarse en términos de cocientes de estiramiento principales; A, B, C, D, E y F son constantes de materiales de Mooney.

A medida que el material se acerca a la incompresibilidad, debe tenerse en cuenta que la tercera constante III se acerca a la unidad mientras que Y se acerca al infinito. Por lo tanto, en los valores del coeficiente de Poisson cercanos a 0,5, el último término en W1 permanece dentro de los límites y es posible obtener una solución.

El modelo de material de Mooney-Rivlin puede utilizarse con elementos sólidos y vaciados gruesos. Las propiedades de material para el modelo de Mooney-Rivlin se introducen en el cuadro de diálogo Material. Pueden especificarse hasta seis constantes de Mooney-Rivlin: Mooney_A, Mooney_B, Mooney_C, Mooney_D, Mooney_E y Mooney_F.

Las constantes de Mooney-Rivin se calculan automáticamente cuando la opción Usar datos de curva para computar constantes del material en el cuadro de diálogo Material está seleccionada. Estas constantes se guardan en un archivo de texto con la extensión .log en la carpeta de resultados activa para el estudio.



Proporcione comentarios sobre este tema

SOLIDWORKS agradece sus comentarios acerca del formato, la precisión y la rigurosidad de la documentación. Utilice el siguiente formulario para enviar comentarios y sugerencias sobre este tema directamente al equipo de documentación. Nota: el equipo de documentación no puede responder a preguntas técnicas. Haga clic aquí para ver información sobre soporte técnico.

* Obligatorio

 
*Correo electrónico:  
Asunto:   Comentarios sobre los temas de la ayuda
Página:   Modelo hiperelástico de Mooney-Rivlin
*Comentario:  
*   Por la presente confirmo que he leído y acepto la política de privacidad en virtud de la cual Dassault Systèmes usará mis Datos personales

Imprimir tema

Seleccione el ámbito del contenido que desee imprimir:

x

Hemos detectado que la versión de su explorador es anterior a Internet Explorer 7. Para una visualización óptima, le recomendamos que actualice a Internet Explorer 7 o versión superior.

 No volver a mostrar este mensaje
x

Versión del contenido de la ayuda web: SOLIDWORKS 2013 SP05

Para desactivar la ayuda web desde SOLIDWORKS y utilizar la ayuda local en su lugar, haga clic en Ayuda > Usar la ayuda web de SOLIDWORKS.

Para informar sobre problemas detectados con la interfaz y la función de búsqueda de la ayuda web, póngase en contacto con el representante local de soporte. Si desea proporcionar comentarios sobre temas individuales, utilice el vínculo “Comentarios sobre este tema” en la página del tema en cuestión.