Expand 简介简介
Expand 管理管理
Expand 用户界面用户界面
Expand SolidWorks 基础知识SolidWorks 基础知识
Expand 从 2D 移动到 3D从 2D 移动到 3D
Expand 装配体装配体
Expand CircuitWorksCircuitWorks
Expand 配置配置
Expand SolidWorks CostingSolidWorks Costing
Expand Design CheckerDesign Checker
Expand SolidWorks 中的设计算例SolidWorks 中的设计算例
Expand 出详图和工程图出详图和工程图
Expand DFMXpressDFMXpress
Expand DriveWorksXpressDriveWorksXpress
Expand FloXpressFloXpress
Expand 导入和导出导入和导出
Expand 模型显示模型显示
Expand 模具设计模具设计
Expand 运动算例运动算例
Expand 零件和特征零件和特征
Expand 线路设计线路设计
Expand 钣金钣金
Collapse 模拟模拟
Expand SimulationXpressSimulationXpress
Expand 草图绘制草图绘制
Expand Sustainability 产品Sustainability 产品
Expand SolidWorks UtilitiesSolidWorks Utilities
Expand TolerancingTolerancing
Expand TolAnalystTolAnalyst
Expand 工具箱工具箱
Expand 焊件焊件
Expand 工作组 PDM工作组 PDM
Expand 疑难解答疑难解答
词汇表
隐藏目录

积分方法

以下积分方法用于无规则振动算例。

标准方法

用于无规则振动分析的标准方法如下:
  1. 在请求的每个自然模式周围选择频率点。 这些点的位置取决于偏置参数 p 的值。

    当偏置参数为 1.0 时,所有频率点都均匀分布在固有频率之间。当偏置参数大于 1.0 时,将选择更靠近固有频率的点。频率点和偏置参数的默认值是作为第一个模式的阻尼比率 ζ 的一个函数给出的。要获得频率点选择图例,请单击此处。

    频率点和偏置参数的默认值是 ζ 的一个函数,如下所示:

    模态阻尼比率 频率数(默认值) 偏置参数(默认值)
    ζ < 0.01 21 11
    0.01 < ζ < 0.1 21-4.34 ln(ζ /0.01) 11-3.47 ln(ζ /0.01)
    ζ > 0.1 11 3

    当同时为频率点数偏置参数定义了零 (0) 时,本软件将应用表 1 中给出的默认值。

  2. 在每个频率点处,评估响应的模态 psd。交叉模式切断率 (RATIO) 为所有可能的固有频率对的比率(wi / wj, i > j)设定了限制。

    这意味着对于 wi / wj > RATIO 的每对模式,交叉谱密度条件将被忽略。当 RATIO =1 时,将不会考虑交叉模式影响。

  3. 随后在指定的频率范围内以数字形式对模态 psd 进行积分,以得出模态响应的均方值和协方差。积分是基于对数的对数插值,利用高斯 2 阶或 3 阶积分在每个频率间隔内以数字方式进行的。均方响应通过求间隔基值的和而得出。
  4. 最后,从模态向节转换可以产生系统的 rms 位移、速度和加速度。

近似方法

由于需要对大型矩阵进行数字积分,标准积分方法将花费大量的计算时间。近似积分方法会作出以下假设来执行简化的求解:
  • 忽略交叉模式响应 Sx(ω)(即一个模式对另一个模式产生的影响)。

    (方程式 1)

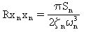
  • 激发的 psd 在每个模式周围被视为常量。这样,每个模式就被假定为将被具有谱密度 Sn 的“白噪音”激发,其中:

    (方程式 2)

    ωn 是模式 n (n = 1,2,...nf) 的固有频率。

    对于白噪音,可以通过分析手段为模态响应确定均方响应:

    (方程式 3)

    (方程式 4)

    (方程式 5)。



提供对该主题的反馈

SOLIDWORKS 欢迎您对此文档的外观、准确性及完整性提供反馈。请使用以下表格,将您对该主题的评论和建议直接发送给我们的文档团队。文档团队不能回答技术支持问题。单击此处获取有关技术支持的信息

* 必填

 
*电子邮件:  
主题:   对帮助主题的反馈
页面:   积分方法
*评论:  
*   本人确认已阅读并且接受 Dassault Systèmes 按照《隐私政策》使用本人的个人数据

打印主题

选择要打印的内容范围:

x

我们检测到您在使用旧于 Internet Explorer 7 的浏览器版本。为优化显示,我们建议您将您的浏览器升级到 Internet Explorer 7 或以上。

 永不再显示此信息
x

Web 帮助内容版本:SOLIDWORKS 2014 SP05

要从 SOLIDWORKS 中禁用 Web 帮助并使用本地帮助,请单击帮助 > 使用 SOLIDWORKS Web 帮助

要报告在 Web 帮助界面和搜索中所遇到的问题,请联系您的当地支持代表。要提供单个帮助主题的反馈,请使用单个主题页面上的“对该主题的反馈”链接。