Expand IntroduzioneIntroduzione
Expand AmministrazioneAmministrazione
Expand Interfaccia utenteInterfaccia utente
Expand Nozioni fondamentali su SolidWorksNozioni fondamentali su SolidWorks
Expand Migrazione da 2D a 3DMigrazione da 2D a 3D
Expand AssiemiAssiemi
Expand CircuitWorksCircuitWorks
Expand ConfigurazioniConfigurazioni
Expand SolidWorks CostingSolidWorks Costing
Expand Design CheckerDesign Checker
Expand Studi progettuali in SolidWorksStudi progettuali in SolidWorks
Expand Disegni e dettagliDisegni e dettagli
Expand DFMXpressDFMXpress
Expand DriveWorksXpressDriveWorksXpress
Expand FloXpressFloXpress
Expand Importazione ed esportazioneImportazione ed esportazione
Expand Visualizzazione modelloVisualizzazione modello
Expand Progettazione di stampiProgettazione di stampi
Expand Studi del movimentoStudi del movimento
Expand Parti e funzioniParti e funzioni
Expand InstradamentoInstradamento
Expand LamieraLamiera
Collapse SimulationSimulation
Expand SimulationXpressSimulationXpress
Expand Tecniche di schizzoTecniche di schizzo
Expand Prodotti SustainabilityProdotti Sustainability
Expand SolidWorks UtilitiesSolidWorks Utilities
Expand TolerancingTolerancing
Expand TolAnalystTolAnalyst
Expand ToolboxToolbox
Expand SaldatureSaldature
Expand Workgroup PDMWorkgroup PDM
Expand DiagnosticaDiagnostica
Glossario
Nascondi Sommario

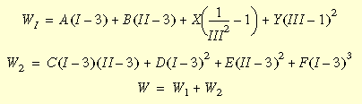
Modello iperelastico Mooney-Rivlin

La funzione densità energia di deformazione Mooney-Rivlin è espressa come:

25.gif

dove I, II e III sono invarianti del tensore di deformata Cauchy-Green e possono essere espresse in termini di coefficienti di trazione principale; A, B, C, D, E ed F sono costanti del materiale Mooney e

Si osservi che man mano che il materiale si avvicina all'incomprimibilità, la terza invariante, III, si avvicina a 1, mentre Y tende all'infinito. Quindi, per i valori del coefficiente di Poisson vicini a 0,5, l'ultimo termine in W1 rimane unito e si potrà ottenere una soluzione.

Il modello di materiali Mooney-Rivlin può essere utilizzato con elementi solidi e shell spessi. Le proprietà del materiale per il modello Mooney-Rivlin vengono specificate nella finestra di dialogo Materiale. È possibile specificare un massimo di sei costanti Mooney-Rivlin: Mooney_A, Mooney_B, Mooney_C, Mooney_D, Mooney_E e Mooney_F.

Le costanti Mooney-Rivin sono calcolate automaticamente quando l'opzione Usa i dati della curva per calcolare le costanti del materiale nella finestra Materiale è selezionata. Le costanti sono salvate in un file di testo con l'estensione .log nella cartella dei risultati attivi per lo studio.



Fornisci il feedback su questo argomento

SOLIDWORKS apprezza il feedback degli utenti relativamente alla presentazione, la precisione e l'esaustività della documentazione. Usare il modulo riportato di seguito per inviare i propri commenti e suggerimenti su questo argomento direttamente al nostro team della documentazione. Questo team non è in grado di rispondere a domande di natura tecnica. Fare clic qui per informazioni sul supporto tecnico.

* Obbligatoria

 
*Email:  
Oggetto:   Feedback sugli argomenti della guida
Pagina:   Modello iperelastico Mooney-Rivlin
*Commento:  
*   Confermo di aver letto e accettato l'informativa sulla privacy che regola l'utilizzo dei miei dati personali da parte di Dassault Systèmes

Stampa argomento

Selezionare il contenuto da stampare:

x

L'utente utilizza una versione di Internet Explorer precedente alla versione 7. Per una visualizzazione ottimale, consigliamo di fare l'upgrade del proprio browser a Internet Explorer 7 o successiva.

 Non mostrare nuovamente questo messaggio
x

Versione contenuto guida Web: SOLIDWORKS 2014 SP05

Per disattivare la guida Web dall'interno di SOLIDWORKS e usare invece la guida locale, fare clic su ? > Usa la guida Web di SOLIDWORKS.

Per segnalare i problemi riscontrati con l'interfaccia e la funzionalità di ricerca della guida Web, contattare il rappresentante del supporto locale. Per fornire un feedback su singoli argomenti della guida, usare il link "Feedback su questo argomento" nella pagina del singolo argomento.