A função Blatz-Ko de densidade de energia da deformação é útil para modelar borrachas de espuma de poliuretano compressível e pode ser expressa como:

onde:
- G = E / 2(1+ν) é o módulo de cisalhamento nas deformações infinitésimas, E é o módulo de elasticidade de Young, ν é o raio de Poisson
- Ik (k=1,..3) são as invariáveis do tensor de deformação Cauchy-Green C=Ik ©)
- C = 2ε +I , ε é o tensor de tensão Lagrangian e I é a matriz de identidade.
A expressão acima, contém apenas uma constante material G. Quando ν = 0,25 para o modelo Blatz-Ko, a única propriedade material considerada é o módulo de Young.

O modelo Blatz-Ko suporta apenas elementos sólidos (rascunho e alta qualidade).
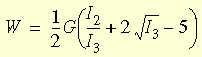
O modelo Blatz-Ko selecionado é uma forma simplificada da expressão obtida por Blatz e Ko (1962) para modelar a distorção de uma borracha de espuma de poliuretano altamente compressível. A energia de deformação foi aproximada pela seguinte expressão:

onde

Uma forma específica para essa família de três parâmetros de potencial elástico foi posteriormente proposta, na qual foram assumidos os seguintes valores para as constantes α, β, e ν α = 0.5, β = 0, and ν = 0.25.