Expand IntroduçãoIntrodução
Expand AdministraçãoAdministração
Expand Interface do usuárioInterface do usuário
Expand Fundamentos do SolidWorksFundamentos do SolidWorks
Expand Mudando de 2D para 3DMudando de 2D para 3D
Expand MontagensMontagens
Expand CircuitWorksCircuitWorks
Expand ConfiguraçõesConfigurações
Expand SolidWorks CostingSolidWorks Costing
Expand Design CheckerDesign Checker
Expand Estudos de Projeto no SolidWorksEstudos de Projeto no SolidWorks
Expand Detalhamento e desenhosDetalhamento e desenhos
Expand DFMXpressDFMXpress
Expand DriveWorksXpressDriveWorksXpress
Expand FloXpressFloXpress
Expand Importar e exportarImportar e exportar
Expand Exibição de modeloExibição de modelo
Expand Projeto de moldesProjeto de moldes
Expand Estudos de movimentoEstudos de movimento
Expand Peças e recursosPeças e recursos
Expand RotaRota
Expand Chapa metálicaChapa metálica
Collapse SimulaçãoSimulação
Expand SimulationXpressSimulationXpress
Expand Geração de esboçoGeração de esboço
Expand Produtos Sustainability Produtos Sustainability
Expand SolidWorks UtilitiesSolidWorks Utilities
Expand TolerancingTolerancing
Expand TolAnalystTolAnalyst
Expand ToolboxToolbox
Expand SoldagensSoldagens
Expand Workgroup PDMWorkgroup PDM
Expand Solução de problemasSolução de problemas
Glossário
Ocultar Sumário

Modelo hiperelástico de Mooney - Rivlin

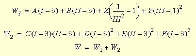
A função de densidade de energia de deformação de Mooney-Rivlin é expressa como:

25.gif

onde I, II e III são constantes do tensor à direita de distorção Cauchy-Green Cauchy-Green e pode ser expresso em termos das razões de alongamento principais; A, B, C, D, E e F são constantes de Mooney do material, e

Deve ser notado que quando o material se aproxima da incompressibilidade, a terceira constante, III, se aproxima da unidade, ao passo que Y tende ao infinito. Assim, para valores do coeficiente de Poisson próximos a 0,5, o último termo em w1 permanece restrito, podendo-se, então, obter uma solução.

O modelo de material de Mooney-Rivlin pode ser usado com elementos sólidos e cascas espessas. As propriedades de material para o modelo de Mooney-Rivlin são dados de entrada para a caixa de diálogo Material.  Até seis constantes Mooney-Rivlin podem ser inseridas: Mooney_A, Mooney_B, Mooney_C, Mooney_D, Mooney_E, and Mooney_F.

As constantes do modelo Mooney-Rivin são calculadas automaticamente quando a opção Usar dados da curva para calcular constantes do material na caixa de diálogo Material está marcada. As constantes são salvas em um arquivo de texto com a extensão .log na pasta de resultados ativa para o estudo.



Envie-nos seus comentários sobre este tópico

O SOLIDWORKS agradece seu feedback sobre a apresentação, precisão e nível de detalhe da documentação. Use o formulário abaixo para enviar comentários e sugestões sobre este tópico diretamente à equipe responsável pela documentação. Esta equipe não responde a perguntas de suporte técnico. Clique aqui para ver informações específicas do suporte técnico.

* Obrigatório

 
*E-mail:  
Assunto:   Comentários sobre os tópicos da Ajuda
Página:   Modelo hiperelástico de Mooney - Rivlin
*Comentário:  
*   Eu reconheço que li e aceito, por meio deste, a política de privacidade segundo a qual meus Dados pessoais serão usados pela Dassault Systèmes

Imprimir tópico

Selecione o escopo do conteúdo a imprimir:

x

Foi detectada uma versão de navegador anterior ao Internet Explorer 7. Para uma exibição otimizada, sugerimos a atualização para o Internet Explorer 7 ou posterior.

 Não mostrar essa mensagem novamente
x

Versão do conteúdo de ajuda on-line: SOLIDWORKS 2014 SP05

Para desativar a Ajuda online no SOLIDWORKS e usar a Ajuda local, clique em Ajuda > Usar Ajuda on-line do SOLIDWORKS.

Para relatar problemas encontrados na interface e na pesquisa da Ajuda on-line, consulte seu representante de suporte local. Para fornecer comentários sobre tópicos individuais da Ajuda, use o link “Comentários sobre este tópico” na página do tópico individual.