Expand IntroductionIntroduction
Expand AdministrationAdministration
Expand Interface utilisateurInterface utilisateur
Expand Fonctions de base de SolidWorksFonctions de base de SolidWorks
Expand Migrer de la 2D à la 3DMigrer de la 2D à la 3D
Expand AssemblagesAssemblages
Expand CircuitWorksCircuitWorks
Expand ConfigurationsConfigurations
Expand SolidWorks CostingSolidWorks Costing
Expand Design CheckerDesign Checker
Expand Etudes de conception dans SolidWorksEtudes de conception dans SolidWorks
Expand Habillage et mises en planHabillage et mises en plan
Expand DFMXpressDFMXpress
Expand DriveWorksXpressDriveWorksXpress
Expand FloXpressFloXpress
Expand Opérations d'import et d'exportOpérations d'import et d'export
Expand Affichage du modèleAffichage du modèle
Expand Conception de moulesConception de moules
Expand Etudes de mouvementEtudes de mouvement
Expand Pièces et fonctionsPièces et fonctions
Expand RoutageRoutage
Expand TôlerieTôlerie
Collapse SimulationSimulation
Expand SimulationXpressSimulationXpress
Expand EsquisseEsquisse
Expand Produits SustainabilityProduits Sustainability
Expand SolidWorks UtilitiesSolidWorks Utilities
Expand TolerancingTolerancing
Expand TolAnalystTolAnalyst
Expand ToolboxToolbox
Expand Constructions soudéesConstructions soudées
Expand Workgroup PDMWorkgroup PDM
Expand DépannageDépannage
Glossaire
Masquer le sommaire

Coefficient de transfert thermique par convection

Selon la loi de Newton sur le refroidissement, le taux de transfert thermique entre une surface à une température Ts et un fluide environnant à une température Tf est représenté par l'équation :

Qconvection = h A (Ts - Tf)

L'unité du coefficient de transfert thermique h est W/m2.K ou Btu/s.in2.F. Le coefficient h n'est pas une propriété thermodynamique. Il représente une corrélation simplifiée à l'état de fluide et aux conditions de flux et est, pour cette raison, souvent appelé une propriété de flux.

La convection est liée au concept d'une couche limite constituant une couche mince de transition entre une surface supposée adjacente aux molécules stationnaires et le flux de fluide environnant. Reportez-vous à l'illustration suivante pour observer un flux sur une plaque plate.

u(x,y) représente la vitesse dans la direction x. La région jusqu'au bord externe de la couche de fluide, définie comme étant égale à 99 % de la vitesse du flux libre, est appelée l'épaisseur de la couche limite de fluide δ(x).

Une représentation semblable pourrait être faite de la transition de la température passant de la température de la surface à la température de l'environnement. Un schéma de la variation de température est illustré par la figure suivante. Remarquez que l'épaisseur de la couche limite thermique n'est pas nécessairement la même que celle du fluide. Les propriétés de fluide formant le nombre de Prandtl régissent l'ampleur relative des deux types de couches limites. Un nombre de Prandtl (Pr) de 1 signifie que les deux couches limites auront le même comportement.

Le mécanisme actuel du transfert thermique à travers la couche limite est interprété comme étant de la conduction, dans la direction y, à travers le fluide stationnaire près de la paroi, avec un taux égal au taux de convection de la couche limite vers le fluide. La formule peut s'écrire ainsi :

h A (Ts - Tf) = - k A (dT/dy)s

Ainsi, le coefficient de convection pour une situation donnée peut être évalué en mesurant le taux de transfert thermique et la différence de température ou en mesurant le gradient de température adjacent à la surface et la différence de température.

La mesure d'un gradient de température sur une couche limite requiert une précision élevée et est généralement prise dans un laboratoire de recherche. La plupart des manuels contiennent des valeurs tabulées des coefficients de transfert thermique par convection pour les différentes configurations.

Le tableau ci-dessous indique quelques valeurs type du coefficient de transfert thermique par convection :

Milieu Coefficient de transfert thermique h (W/m2.K)
Air (convection naturelle) 5-25
Air/vapeur surchauffée (convection forcée) 20-300
Huile (convection forcée) 60-1800
Eau (convection forcée) 300-6000
Eau (bouillante) 3000-60,000
Vapeur (en condensation) 6000-120,000

Nombre de Prandtl

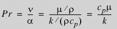
Le nombre de Prandtl est un paramètre qui exprime l'épaisseur de la vitesse et des couches limites thermiques et qui se traduit ainsi :

avec ν représentant la viscosité cinématique, α la diffusivité thermique, ρ la densité du fluide, κ la conductivité thermique du fluide et cp la capacité thermique du fluide à une pression constante.

La viscosité cinématique ν d'un fluide donne des informations sur le taux auquel la quantité de mouvement peut être diffusée par le fluide en raison du mouvement moléculaire. La diffusivité thermique α donne des informations sur la diffusion de la chaleur dans le fluide. Ainsi, le ratio de ces deux quantités exprime les ampleurs relatives de diffusion de quantité de mouvement et de chaleur dans le fluide.



Faire un commentaire sur cette rubrique

Tous les commentaires concernant la présentation, l'exactitude et l'exhaustivité de la documentation sont les bienvenus. Utilisez le formulaire ci-dessous pour faire parvenir vos commentaires et suggestions directement à notre équipe de documentation. Celle-ci ne peut pas répondre aux questions de support technique. Cliquez ici pour des informations sur le support technique.

* Requis

 
*Courriel:  
Sujet:   Commentaires sur les rubriques d'aide
Page:   Coefficient de transfert thermique par convection
*Commentaire:  
*   Je reconnais avoir pris connaissance et accepter par la présente la politique de confidentialité en vertu de laquelle mes données personnelles seront utilisées par Dassault Systèmes

Rubrique d'impression

Sélectionner l'étendue du contenu à imprimer :

x

La version du navigateur que vous utilisez est antérieure à Internet Explorer 7. Afin d'optimiser l'affichage, nous suggérons d'utiliser Internet Explorer 7 ou une version ultérieure.

 Ne plus afficher ce message
x

Version du contenu de l'aide sur le Web: SOLIDWORKS 2014 SP05

Pour désactiver l'aide sur le Web dans SOLIDWORKS et utiliser l'aide locale à la place, cliquez sur ? > Utiliser l'aide sur le Web de SOLIDWORKS.

Pour signaler tout problème rencontré avec l'interface ou la fonctionnalité de recherche de l'aide sur le Web, contactez votre support technique local. Pour faire part de vos commentaires sur des rubriques d'aide individuelles, utilisez le lien “Commentaires sur cette rubrique” sur la page de la rubrique concernée.