Selon la loi de Newton sur le refroidissement, le taux de transfert thermique entre une surface à une température Ts et un fluide environnant à une température Tf est représenté par l'équation :
Qconvection = h A (Ts - Tf)
L'unité du coefficient de transfert thermique h est W/m2.K ou Btu/s.in2.F. Le coefficient h n'est pas une propriété thermodynamique. Il représente une corrélation simplifiée à l'état de fluide et aux conditions de flux et est, pour cette raison, souvent appelé une propriété de flux.
La convection est liée au concept d'une couche limite constituant une couche mince de transition entre une surface supposée adjacente aux molécules stationnaires et le flux de fluide environnant. Reportez-vous à l'illustration suivante pour observer un flux sur une plaque plate.

u(x,y) représente la vitesse dans la direction x. La région jusqu'au bord externe de la couche de fluide, définie comme étant égale à 99 % de la vitesse du flux libre, est appelée l'épaisseur de la couche limite de fluide δ(x).
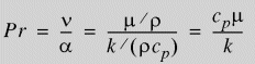
Une représentation semblable pourrait être faite de la transition de la température passant de la température de la surface à la température de l'environnement. Un schéma de la variation de température est illustré par la figure suivante. Remarquez que l'épaisseur de la couche limite thermique n'est pas nécessairement la même que celle du fluide. Les propriétés de fluide formant le nombre de Prandtl régissent l'ampleur relative des deux types de couches limites. Un nombre de Prandtl (Pr) de 1 signifie que les deux couches limites auront le même comportement.

Le mécanisme actuel du transfert thermique à travers la couche limite est interprété comme étant de la conduction, dans la direction y, à travers le fluide stationnaire près de la paroi, avec un taux égal au taux de convection de la couche limite vers le fluide. La formule peut s'écrire ainsi :
h A (Ts - Tf) = - k A (dT/dy)s
Ainsi, le coefficient de convection pour une situation donnée peut être évalué en mesurant le taux de transfert thermique et la différence de température ou en mesurant le gradient de température adjacent à la surface et la différence de température.
La mesure d'un gradient de température sur une couche limite requiert une précision élevée et est généralement prise dans un laboratoire de recherche. La plupart des manuels contiennent des valeurs tabulées des coefficients de transfert thermique par convection pour les différentes configurations.
Le tableau ci-dessous indique quelques valeurs type du coefficient de transfert thermique par convection :
Milieu |
Coefficient de transfert thermique h (W/m2.K) |
Air (convection naturelle)
|
5-25
|
Air/vapeur surchauffée (convection forcée)
|
20-300
|
Huile (convection forcée)
|
60-1800
|
Eau (convection forcée)
|
300-6000
|
Eau (bouillante)
|
3000-60,000
|
Vapeur (en condensation)
|
6000-120,000
|