La densité d'énergie de déformation Blatz-Ko est pratique lors de la modélisation de caoutchoucs de type mousse de polyuréthane compressible et peut s'exprimer ainsi :

où :
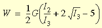
- G = E / 2(1+ν) représente le module de cisaillement sous l'action de déformations infiniment petites, E représente le module d'élasticité de Young, ν représente le coefficient de Poisson
- Ik (k=1,..3) représentent des invariants du tenseur de déformée de Cauchy-Green C=Ik ©)
- C = 2ε +I , ε représente le tenseur de déformation lagrangienne et I représente la matrice d'identité.
L'expression ci-dessus ne contient qu'une constante de matériau G. Dans la mesure où ν = 0,25 pour le modèle de Blatz-Ko, la seule propriété de matériau prise en compte est le module de Young.

Actuellement, le modèle de Blatz-Ko est uniquement pris en charge par les éléments volumiques (moyenne et haute qualité).
Le modèle de Blatz-Ko sélectionné est une forme simplifiée de l'expression formulée par Blatz et Ko (1962) pour modéliser la déformation d'un caoutchouc en mousse de polyuréthane hautement compressible. L'énergie de déformation a été calculée approximativement au moyen de l'expression suivante :

où

Une forme spécifique de cette famille de potentiel d'élasticité à trois paramètres a été proposée ultérieurement, selon laquelle les valeurs suivantes des constantes α, β et ν étaient supposées : α = 0,5, β = 0 et ν = 0,25.