La réponse structurelle maximale est calculée en combinant les contributions de chaque mode.
Les techniques de combinaison des modes suivantes sont disponibles.
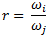
où ρij est le coefficient de corrélation entre les modes et ξI et ξj sont les coefficients d'amortissement modaux pour les modes I et j.
où représente le mode avec la plus grande réponse parmi toutes les réponses modales.
Faire un commentaire sur cette rubrique
Tous les commentaires concernant la présentation, l'exactitude et l'exhaustivité de la documentation sont les bienvenus. Utilisez le formulaire ci-dessous pour faire parvenir vos commentaires et suggestions directement à notre équipe de documentation. Celle-ci ne peut pas répondre aux questions de support technique. Cliquez ici pour des informations sur le support technique.
* Requis
Merci pour vos commentaires. Nous vous contacterons en cas de questions.
Cordialement,L'équipe de documentation de SOLIDWORKS
Rubrique d'impression
Sélectionner l'étendue du contenu à imprimer :
La version du navigateur que vous utilisez est antérieure à Internet Explorer 7. Afin d'optimiser l'affichage, nous suggérons d'utiliser Internet Explorer 7 ou une version ultérieure.
Version du contenu de l'aide sur le Web: SOLIDWORKS 2014 SP05 Pour désactiver l'aide sur le Web dans SOLIDWORKS et utiliser l'aide locale à la place, cliquez sur ? > Utiliser l'aide sur le Web de SOLIDWORKS. Pour signaler tout problème rencontré avec l'interface ou la fonctionnalité de recherche de l'aide sur le Web, contactez votre support technique local. Pour faire part de vos commentaires sur des rubriques d'aide individuelles, utilisez le lien “Commentaires sur cette rubrique” sur la page de la rubrique concernée.