Expand はじめにはじめに
Expand 管理管理
Expand ユーザー インターフェースユーザー インターフェース
Expand SolidWorks の基礎 SolidWorks の基礎
Expand 2D から 3D へ移行2D から 3D へ移行
Expand アセンブリアセンブリ
Expand CircuitWorksCircuitWorks
Expand コンフィギュレーションコンフィギュレーション
Expand CostingCosting
Expand Design CheckerDesign Checker
Expand SolidWorksにおけるデザイン スタディSolidWorksにおけるデザイン スタディ
Expand 詳細設定と図面詳細設定と図面
Expand DFMXpressDFMXpress
Expand DriveWorksXpressDriveWorksXpress
Expand FloXpressFloXpress
Expand インポート/エクスポートインポート/エクスポート
Expand モデル表示モデル表示
Expand モールド設計モールド設計
Expand モーション スタディモーション スタディ
Expand 部品とフィーチャー 部品とフィーチャー
Expand ルーティングルーティング
Expand 板金板金
Collapse シミュレーションシミュレーション
Expand SimulationXpressSimulationXpress
Expand スケッチングスケッチング
Expand Sustainability 製品Sustainability 製品
Expand SolidWorks UtilitiesSolidWorks Utilities
Expand TolerancingTolerancing
Expand TolAnalystTolAnalyst
Expand ToolboxToolbox
Expand 溶接溶接
Expand Workgroup PDMWorkgroup PDM
Expand トラブルシューティングトラブルシューティング
用語集
目次を表示しない

Rayleigh 減衰

n x n 対称減衰マトリックス [C] は質量 [M] と剛性 [K] のマトリックスの線形結合として定式化されています:

(関係式 1)

  • アルファ係数 質量比例係数 α を設定します。
  • ベータ係数(Beta Coefficient): 剛性比例係数 β を設定します。

(関係式 1) にある減衰タイプは Rayleigh (レイリー)減衰または比例減衰と呼ばれます。

[C] はシステム固有ベクトルに対して直交になります。

モーダル座標変換を適用することにより、モーダル減衰マトリックス [c] が対角になります:

(関係式 2)

Rayleigh 減衰は線形動解析スタディと非線形動解析スタディで定義できます。

Rayleigh 係数とモーダル減衰比の関係(Relation of Rayleigh Coefficients and Modal Damping Ratio)

モーダル減衰行列 [c] は次により与えられます:

(関係式 3)

i 次モードの粘性減衰係数 ci は次によって計算されます:

(関係式 4)

および粘性減衰比 ζi は次のように表されます。

(関係式 5)

i 次モードと j 次モードの減衰比が ζi と ζj の場合、Rayleigh 係数 α と β は 2 つの代数方程式の解法から計算されます:

(関係式 6)

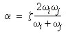
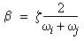
両方のモードの減衰比が同じである場合(ζi = ζj = ζ)、α と β の値は次により与えられます。

(関係式 7) (関係式 8)

他のモードの粘性減衰比 ζ は次の図にあるように振動数によって異なります:



トピックについてフィードバックを送信

ヘルプに関してフィードバックを送信することができます。しかし、ドキュメンテーション グループはテクニカル サポートに関する質問に答えることはできません。 テクニカル サポートに関する情報はここをクリックしてください

* 必要項目

 
*電子メール:  
件名:   トピックのフィードバック
ページ:   Rayleigh 減衰
*コメント:  
*   プライバシー ポリシーを読み、個人情報が Dassault Systèmes によって使用されることに同意します。

トピックの印刷

印刷するコンテンツの範囲を選択:

x

Internet Explorer 7 より古いブラウザ バージョンが検知されました。 表示を最適化するにはInternet Explorer 7 以上のブラウザ バージョンにアップグレードしてください。

 今後このメッセージを表示しない
x

Web ヘルプ コンテンツ バージョン: SOLIDWORKS 2014 SP05

SOLIDWORKS で Web ヘルプを無効にして、ローカル ヘルプを使用するには、ヘルプ > SOLIDWORKS Web ヘルプ使用 をクリックしてください。

Web ヘルプのインタフェースや検索機能に関する問題は、お客様のサポート担当者までご連絡ください。各トピック ページの「トピックについてフィードバックする」リンクを使用し、各ヘルプ トピックについてフィードバックを送信することもできます。