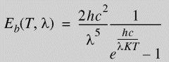
プランクの法則は、黒体による放射強度を波長(または周波数)の関数として与えます。
ここで:
h = プランク定数 = 6.6262 X 10 - 34 ジュール秒
c = 真空内の光の速度
λ = 放出された輻射の波長
K = ボルツマン定数
T = 絶対温度
トピックについてフィードバックを送信
ヘルプに関してフィードバックを送信することができます。しかし、ドキュメンテーション グループはテクニカル サポートに関する質問に答えることはできません。 テクニカル サポートに関する情報はここをクリックしてください。
* 必要項目
ご意見をお寄せいただき、ありがとうございます。 いただいた内容に関してこちらから連絡する場合があります。
いただきました提案とフィードバックを基に、品質の向上に努めます。
トピックの印刷
印刷するコンテンツの範囲を選択:
Internet Explorer 7 より古いブラウザ バージョンが検知されました。 表示を最適化するにはInternet Explorer 7 以上のブラウザ バージョンにアップグレードしてください。
Web ヘルプ コンテンツ バージョン: SOLIDWORKS 2014 SP05 SOLIDWORKS で Web ヘルプを無効にして、ローカル ヘルプを使用するには、ヘルプ > SOLIDWORKS Web ヘルプ使用 をクリックしてください。 Web ヘルプのインタフェースや検索機能に関する問題は、お客様のサポート担当者までご連絡ください。各トピック ページの「トピックについてフィードバックする」リンクを使用し、各ヘルプ トピックについてフィードバックを送信することもできます。