Blatz-Ko gerinim enerjisi yoğunluk fonksiyonu, sıkıştırılabilir poliüretan köpük tipi kauçukları modellendirmede yararlı olur ve şu şekilde ifade edilebilir:

Burada;
- G = E / 2(1+ν), ölçülemeyecek kadar küçük deformasyonlar altındaki yırtılma modülüdür; E, Young elastisite modülüdür; ν, Poisson oranıdır.
- Ik (k=1,..3), Cauchy-Green deformasyon tensörünün değişmezidir C=Ik ©.
- C = 2ɛ +I, burada ɛ Lagrangian gerinim tensörüdür ve I kimlik matrisidir.
Yukarıdaki ifade sadece bir malzeme sabiti G içerir. Blatz-Ko modeli için ν = 0,25 olduğundan, göz önünde bulundurulan tek malzeme özelliği Young modülüdür.

Blatz-Ko modeli halihazırda sadece katı elemanlar (draft ve yüksek kaliteli) tarafından desteklenmektedir.
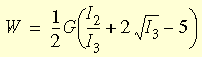
Seçili Blatz-Ko modeli, yüksek düzeyde sıkıştırılabilir bir poliüretan köpük kauçuğun deformasyonunu modellemek üzere Blatz ve Ko (1962) tarafından elde edilen ifadenin basitleştirilmiş halidir. Gerinim enerjisi aşağıdaki ifadeyle yakınsanmıştır:

Burada;

Bu üç parametreli elastik potansiyel grubunun özel formu, daha sonraki zamanlarda ileri sürülmüştür ve α, β ve ν sabitlerinin şu değerlerde olduğu varsayılmıştır: α = 0,5, β = 0 ve ν = 0,25.