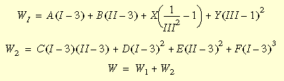
Mooney-Rivlin gerinim enerjisi yoğunluğu fonksiyonu şu şekilde ifade edilir:

Burada I, II ve III, sağ Cauchy-Green deformasyon tensörünün değişmezleridir ve ana uzama oranları açısından ifade edilebilir. A, B, C, D, E ve F, Mooney malzeme sabitleridir ve

Malzeme sıkıştırılamazlık oranına yaklaştıkça, üçüncü değişmez olan III'ün diğerlerine yaklaşacağı ve Y'nin sonsuzluğa yaklaşacağı unutulmamalıdır. Bu nedenle, 0,5'e yakın Poisson oranı değerleri için W1'deki son ifade sınırlandırılmış olarak kalır ve bir çözüm elde edilebilir.
Mooney-Rivlin malzeme modeli, katı elemanlar ve kalın kabuklarla birlikte kullanılabilir. Mooney-Rivlin modeli için malzeme özellikleri, Malzeme iletişim kutusuna girilir. En fazla altı Mooney-Rivlin sabiti girilebilir: Mooney_A, Mooney_B, Mooney_C, Mooney_D, Mooney_E ve Mooney_F.
Malzeme iletişim kutusundaki Malzeme sabitlerini hesaplamak için eğri verisi kullan seçeneği işaretlendiğinde Mooney-Rivlin sabitleri otomatik olarak hesaplanır. Sabitler, etüdün etkin sonuç klasöründeki .log uzantılı bir metin dosyasına kaydedilir.