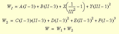
Mooney Rivlin 應變能密度函式如下式所示:

其中 I、II 和 III 是右 Cauchy-Green 變形張量的不變量,可以主伸展比例表示;A、B、C、D、E 及 F 是 Mooney 材料常數,而

需注意的是,當材料趨近不可壓縮時,第三不變量 III 會趨近於 1,而 Y 會趨近於無限。因此,若 Poisson 比值接近 0.5,W1 中的最後一項維持約束項,即可求出解答。
Mooney Rivlin 材料模型可應用在實體元素及厚殼。Mooney Rivlin 模型的材料屬性是材料對話方塊中的輸入項目。最多可輸入六個 Mooney Rivlin 常數:Mooney_A、Mooney_B、Mooney_C、Mooney_D、Mooney_E 及 Mooney_F。
當在材料對話方塊中的使用曲線資料來計算材料常數被為選取時,會自動計算 Mooney-Rivin 常數。常數會以文字檔案被儲存在研究的啟用結果資料夾中,且副檔名為 .log。