Expand IntroductionIntroduction
Expand AdministrationAdministration
Expand User InterfaceUser Interface
Expand SOLIDWORKS FundamentalsSOLIDWORKS Fundamentals
Expand Moving from 2D to 3DMoving from 2D to 3D
Expand AssembliesAssemblies
Expand CircuitWorksCircuitWorks
Expand ConfigurationsConfigurations
Expand SOLIDWORKS CostingSOLIDWORKS Costing
Expand Design CheckerDesign Checker
Expand Design Studies in SOLIDWORKSDesign Studies in SOLIDWORKS
Expand Detailing and DrawingsDetailing and Drawings
Expand DFMXpressDFMXpress
Expand DriveWorksXpressDriveWorksXpress
Expand FloXpressFloXpress
Expand SLDXML Data ExchangeSLDXML Data Exchange
Expand Import and ExportImport and Export
Expand Model DisplayModel Display
Expand Mold DesignMold Design
Expand Motion StudiesMotion Studies
Expand Parts and FeaturesParts and Features
Expand RoutingRouting
Expand Sheet MetalSheet Metal
Collapse SimulationSimulation
Expand SimulationXpressSimulationXpress
Expand SketchingSketching
Expand Sustainability ProductsSustainability Products
Expand SOLIDWORKS MBDSOLIDWORKS MBD
Expand SOLIDWORKS UtilitiesSOLIDWORKS Utilities
Expand TolerancingTolerancing
Expand TolAnalystTolAnalyst
Expand ToolboxToolbox
Expand WeldmentsWeldments
Expand Workgroup PDMWorkgroup PDM
Expand TroubleshootingTroubleshooting
Glossary
Hide Table of Contents

Methods of Integration

The following integration methods are used for random vibration studies.

Standard Method

The standard method for random vibration analysis proceeds as follows:
  1. Certain frequency points are selected around each requested natural mode. Locations of these points depend on the value of the biasing parameter p.

    For a biasing parameter of 1.0, all the frequency points are uniformly distributed between the natural frequencies. If the biasing parameter is greater than 1.0, the points are selected closer to the natural frequencies. The default values for the frequency points and the biasing parameter are given as a function of the first mode's damping ratio ζ. For an illustration on the selection of the frequency points click here.

    Default values for the frequency points and the biasing parameter as a function of ζ are given below:

    Modal Damping Ratio Number of Frequencies (Default) Biasing Parameter (Default)
    ζ < 0.01 21 11
    0.01 < ζ < 0.1 21-4.34 ln(ζ /0.01) 11-3.47 ln(ζ /0.01)
    ζ > 0.1 11 3

    The software applies the default values given in Table 1 when zero (0) is defined for both the Number of frequency points and Biasing Parameter.

  2. Modal psds of response are evaluated at each of the frequency points. The cross-mode cut-off ratio (RATIO) sets a limit on the ratio of all possible pairs of natural frequencies (wi / wj, i > j).

    This means that for each pair of modes with wi / wj > RATIO, the cross-spectral density terms are neglected. Cross-mode effects are not considered for RATIO =1.

  3. The modal psds are then numerically integrated over the specified frequency range to yield the mean squared values and covariances of the modal response. The integration is carried out numerically using Gauss integration of order 2 or 3 over each frequency interval, based on a log-log interpolation. The mean squared response is obtained by summing the interval contributions.
  4. Finally, transformation from modal to nodal yields the rms displacements, velocities, and accelerations of the system.

Approximate Method

The standard method of integration can be computationally time consuming due to the numerical integration of large matrices. The approximate method of integration performs a simplified solution by making the following assumptions:
  • Neglecting the cross-mode response, Sx(ω) , that is the effect of one mode on another, i.e.

    (Equation 1)

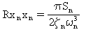
  • The psd of excitations are considered constant around each mode. Thus, each mode is assumed to be excited by "white noise" with spectral density Sn, where;

    (Equation 2)

    ωn is the natural frequency of mode n (n = 1,2,...nf).

    For white noise, the mean square responses can be determined analytically for the modal responses:

    (Equation 3)

    (Equation 4)

    (Equation 5).



Provide feedback on this topic

SOLIDWORKS welcomes your feedback concerning the presentation, accuracy, and thoroughness of the documentation. Use the form below to send your comments and suggestions about this topic directly to our documentation team. The documentation team cannot answer technical support questions. Click here for information about technical support.

* Required

 
*Email:  
Subject:   Feedback on Help Topics
Page:   Methods of Integration
*Comment:  
*   I acknowledge I have read and I hereby accept the privacy policy under which my Personal Data will be used by Dassault Systèmes

Print Topic

Select the scope of content to print:

x

We have detected you are using a browser version older than Internet Explorer 7. For optimized display, we suggest upgrading your browser to Internet Explorer 7 or newer.

 Never show this message again
x

Web Help Content Version: SOLIDWORKS 2015 SP05

To disable Web help from within SOLIDWORKS and use local help instead, click Help > Use SOLIDWORKS Web Help.

To report problems encountered with the Web help interface and search, contact your local support representative. To provide feedback on individual help topics, use the “Feedback on this topic” link on the individual topic page.