Hide Table of Contents

Viscoelastic Model

Elastic materials having the capacity to dissipate the mechanical energy due to viscous effects are characterized as viscoelastic materials.

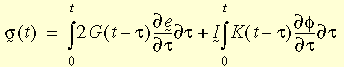
For multi-axial stress state, the constitutive relation can be written as:

32.gif

where: e(bar) and φ are the deviatoric and volumetric strain, G(t - τ) and K(t - τ) are shear and bulk relaxation functions.

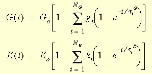
The relaxation functions can then be represented by the mechanical model which is usually referred to as a Generalized Maxwell Model having the expressions:

33.gif

where: G0 = E / 2(1+ ν), initial shear modulus (t=0)

and K0= E / 3(1 -2ν), initial bulk modulus (t=0)

gi, ki, τiG, and τiK are the i-th shear and bulk moduli and corresponding times.

fig_5.gif

The effect of temperature on the material behavior is introduced through the time-temperature correspondence principle. The mathematical form of the principle is:

34.gif

where γt is the reduced time and γ is the shift function. The WLF (Williams-Landel-Ferry) equation is used to approximate the function:

35.gif

where T0 is the reference temperature which is usually picked as the Glass transition temperature; C1 and C2 are material dependent constants.

Parameter Material Property
Linear Elastic Parameters Elastic modulus in X
Poisson's ratio in XY
Shear modulus in XY
Relaxation Function Parameters Shear relaxation modulus (1 to 8)

(represent g1, g2, ...,g8 in the Generalized Maxwell Model equations)

Time values (Shear relaxation modulus 1 to 8) (represent τ1g, τ2g,..., τ8g in the Generalized Maxwell Model equations)
Bulk Relaxation Modulus (1 to 8)
Time values (Bulk relaxation modulus 1 to 8) (represent τ1k, τ2k,..., τ8k in the Generalized Maxwell Model equations)
WLF Equation Parameters Glassy Transition Temperature

(represents T0 in the WLF equation)

First Constant for Williams-Landel-Ferry equation

(represents C1 in the WLF equation)

Second Constant for Williams-Landel-Ferry equation

(represents C2 in the WLF equation)

When defining a shear or bulk relaxation curve under the Tables & Curves tab, the first point of the curve is the G1 or K1 moduli at time t1. At time t = 0, the program automatically computes G0 or K0 from the Elastic modulus and Poisson's ratio.

The viscoelastic material model can be used with the draft and high quality solid and thick shell elements.

Time has real values in nonlinear analysis when you use the viscoelastic material model.



Provide feedback on this topic

SOLIDWORKS welcomes your feedback concerning the presentation, accuracy, and thoroughness of the documentation. Use the form below to send your comments and suggestions about this topic directly to our documentation team. The documentation team cannot answer technical support questions. Click here for information about technical support.

* Required

 
*Email:  
Subject:   Feedback on Help Topics
Page:   Viscoelastic Model
*Comment:  
*   I acknowledge I have read and I hereby accept the privacy policy under which my Personal Data will be used by Dassault Systèmes

Print Topic

Select the scope of content to print:

x

We have detected you are using a browser version older than Internet Explorer 7. For optimized display, we suggest upgrading your browser to Internet Explorer 7 or newer.

 Never show this message again
x

Web Help Content Version: SOLIDWORKS 2015 SP05

To disable Web help from within SOLIDWORKS and use local help instead, click Help > Use SOLIDWORKS Web Help.

To report problems encountered with the Web help interface and search, contact your local support representative. To provide feedback on individual help topics, use the “Feedback on this topic” link on the individual topic page.