A análise harmônica avalia a resposta de pico em estado estável de um sistema a cargas harmônicas.
Em cada etapa de solução, todas as cargas aplicadas e excitações de base têm a mesma frequência. As magnitudes são definidas pelas curvas de frequência associadas.
Consideremos um vetor de força harmônica nodal {P} definido como:
(Equação 1) ou
(Equação 2),
onde:
Pké a magnitude da força na direção do ko grau de liberdade
w é a frequência de excitação e
Yk é o ângulo de fase da força.
Para sistemas lineares, as equações de movimento do sistema são separadas em n equações modais:
(Equação 3).
Substituir o vetor de força {P} na (Equação 3) resulta em:
(Equação 4), onde
(Equação 5)
A solução em estado estável da (Equação 4) é:
(Equação 6).
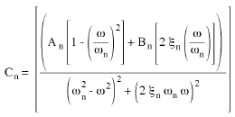
A parte real da (Equação 6) é:
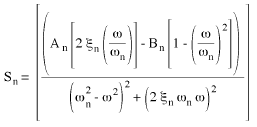
(Equação 7), onde
(Equação 8) e
(Equação 9).
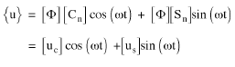
O vetor de deslocamento u é obtido por:
(Equação 10) ou
(Equação 11)
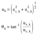
A magnitude do deslocamento uk e o ângulo de fase correspondente θk para o ko grau de liberdade são:
(Equação 12)
As respostas de velocidade e aceleração são deduzidas derivando a (Equação 11). As amplitudes são:
(Equação 13)
Os ângulos de fase de velocidades e acelerações são de 90º e 180º no que diz respeito aos ângulos de fase de deslocamento.