Expand IntroduçãoIntrodução
Expand AdministraçãoAdministração
Expand Interface do usuárioInterface do usuário
Expand Fundamentos do SOLIDWORKS Fundamentos do SOLIDWORKS
Expand Mudando de 2D para 3DMudando de 2D para 3D
Expand MontagensMontagens
Expand CircuitWorksCircuitWorks
Expand ConfiguraçõesConfigurações
Expand SOLIDWORKS CostingSOLIDWORKS Costing
Expand Design CheckerDesign Checker
Expand Estudos de Projeto no SOLIDWORKSEstudos de Projeto no SOLIDWORKS
Expand Detalhamento e desenhosDetalhamento e desenhos
Expand DFMXpressDFMXpress
Expand DriveWorksXpressDriveWorksXpress
Expand FloXpressFloXpress
Expand Troca de dados SLDXMLTroca de dados SLDXML
Expand Importar e exportarImportar e exportar
Expand Exibição de modeloExibição de modelo
Expand Projeto de moldesProjeto de moldes
Expand Estudos de movimentoEstudos de movimento
Expand Peças e recursosPeças e recursos
Expand RotaRota
Expand Chapa metálicaChapa metálica
Collapse SimulaçãoSimulação
Expand SimulationXpressSimulationXpress
Expand Geração de esboçoGeração de esboço
Expand SOLIDWORKS MBD SOLIDWORKS MBD
Expand SOLIDWORKS UtilitiesSOLIDWORKS Utilities
Expand SOLIDWORKS SustainabilitySOLIDWORKS Sustainability
Expand TolerânciasTolerâncias
Expand TolAnalystTolAnalyst
Expand ToolboxToolbox
Expand SoldagensSoldagens
Expand Workgroup PDMWorkgroup PDM
Expand Solução de problemasSolução de problemas
Glossário
Ocultar Sumário

Modelo ortotrópico elástico linear

Em contraste com um material isotrópico, um material ortotrópico tem direções preferidas de forças, que são mutuamente perpendiculares. As propriedades ao longo dessas direções (também conhecidas como direções principais) são os valores extremos dos coeficientes elásticos.

A matriz [D] para um material ortotrópico tem nove propriedades elásticas independentes. Além disso existem três propriedades para a expansão térmica.

Relações tensão-deformação ortotrópicas em 2D

Em duas dimensões, as relações tensão-deformação ortotrópicas podem ser escritas como a seguir, incluindo os efeitos da temperatura:

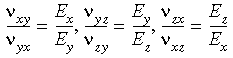
Note que para satisfazer a simetria na matriz dos módulos elásticos, νxy Ey = νyx Ex.

Você precisa satisfazer a condição de simetria anterior ao informar os valores numéricos do módulo elástico ou do Coeficiente de Poisson.

Além disso, se você não inserir o valor numérico do módulo de cisalhamento, o programa o calculará da forma a seguir:

Em três dimensões as condições de simetria ortotrópica exigem que:

Portanto, ao dar entrada nas propriedades ortotrópicas do material, você deve se certificar que as condições de simetria acima não sejam violadas.

Note que se você não der entrada nos valores numéricos dos módulos de cisalhamento, o programa os calculará usando as relações mostradas abaixo:

Se Ex = Ey = Ezo programa calcula os módulos de cisalhamento internamente, mesmo sed for definidoe explicitamente. O programa pressupõe 0,0 para os coeficientes de Poisson que não sejam explicitamente definidos.



Envie-nos seus comentários sobre este tópico

O SOLIDWORKS agradece seu feedback sobre a apresentação, precisão e nível de detalhe da documentação. Use o formulário abaixo para enviar comentários e sugestões sobre este tópico diretamente à equipe responsável pela documentação. Esta equipe não responde a perguntas de suporte técnico. Clique aqui para ver informações específicas do suporte técnico.

* Obrigatório

 
*E-mail:  
Assunto:   Comentários sobre os tópicos da Ajuda
Página:   Modelo ortotrópico elástico linear
*Comentário:  
*   Eu reconheço que li e aceito, por meio deste, a política de privacidade segundo a qual meus Dados pessoais serão usados pela Dassault Systèmes

Imprimir tópico

Selecione o escopo do conteúdo a imprimir:

x

Foi detectada uma versão de navegador anterior ao Internet Explorer 7. Para uma exibição otimizada, sugerimos a atualização para o Internet Explorer 7 ou posterior.

 Não mostrar essa mensagem novamente
x

Versão do conteúdo de ajuda on-line: SOLIDWORKS 2016 SP05

Para desativar a Ajuda online no SOLIDWORKS e usar a Ajuda local, clique em Ajuda > Usar Ajuda on-line do SOLIDWORKS.

Para relatar problemas encontrados na interface e na pesquisa da Ajuda on-line, consulte seu representante de suporte local. Para fornecer comentários sobre tópicos individuais da Ajuda, use o link “Comentários sobre este tópico” na página do tópico individual.