Expand IntroduzioneIntroduzione
Expand AmministrazioneAmministrazione
Expand Interfaccia utenteInterfaccia utente
Expand Fondamentali di SOLIDWORKS Fondamentali di SOLIDWORKS
Expand Migrazione da 2D a 3DMigrazione da 2D a 3D
Expand AssiemiAssiemi
Expand CircuitWorksCircuitWorks
Expand ConfigurazioniConfigurazioni
Expand SOLIDWORKS CostingSOLIDWORKS Costing
Expand Design CheckerDesign Checker
Expand Studi progettuali in SOLIDWORKSStudi progettuali in SOLIDWORKS
Expand Disegni e dettagliDisegni e dettagli
Expand DFMXpressDFMXpress
Expand DriveWorksXpressDriveWorksXpress
Expand FloXpressFloXpress
Expand Scambio dati SLDXMLScambio dati SLDXML
Expand Importazione ed esportazioneImportazione ed esportazione
Expand Visualizzazione modelloVisualizzazione modello
Expand Progettazione di stampiProgettazione di stampi
Expand Studi del movimentoStudi del movimento
Expand Parti e funzioniParti e funzioni
Expand InstradamentoInstradamento
Expand LamieraLamiera
Collapse SimulationSimulation
Expand SimulationXpressSimulationXpress
Expand Tecniche di schizzoTecniche di schizzo
Expand SOLIDWORKS MBD SOLIDWORKS MBD
Expand SOLIDWORKS UtilitiesSOLIDWORKS Utilities
Expand SOLIDWORKS SustainabilitySOLIDWORKS Sustainability
Expand TolleranzeTolleranze
Expand TolAnalystTolAnalyst
Expand ToolboxToolbox
Expand SaldatureSaldature
Expand Workgroup PDMWorkgroup PDM
Expand DiagnosticaDiagnostica
Glossario
Nascondi Sommario

Metodi di integrazione

I seguenti metodi di integrazione sono usati per gli studi di vibrazione random.

Metodo standard

Il metodo standard per l'analisi della vibrazione random procede nel modo seguente:
  1. alcuni punti di frequenza sono selezionati intorno ad ogni modalità naturale richiesta. Le ubicazioni di questi punti dipendono dal valore del parametro bias p.

    Per un parametro bias di 1.0, tutti i punti di frequenza sono distribuiti in modo uniforme tra le frequenze naturali. Se il parametro bias è maggiore di 1.0, i punti vengono selezionati più vicini alle frequenze naturali. I valori di default per i punti di frequenza e il parametro bias sono dati come funzione del primo rapporto di smorzamento ζ. Per una illustrazione sulla selezione dei punti di frequenza, fare clic qui.

    I valori di default per i punti di frequenza e il parametro bias come funzione di ζ sono elencati di seguito:

    Rapporto di smorzamento modale Numero di frequenze (Default) Parametro bias (Default)
    ζ < 0.01 21 11
    0.0,1 < ζ < 0.01 21-4.34 ln(ζ /0.01) 11-3.47 ln(ζ /0.01)
    ζ > 0.1 11 3

    Il software applica i valori di default dati nella Tabella 1 dove zero (0) è definito per il Numero di punti di frequenza e Parametro bias.

  2. Psd modali di responso sono valutati per ogni punto di frequenza. Il rapporto modalità trasversale-taglio (RAPPORTO) imposta un limite sul rapporto di tutte le possibili coppie di frequenze naturali (wi / wj, i > j).

    Ciò significa che per ogni coppia di modalità con wi / wj > RAPPORTO, i termini di densità spettrale trasversale sono ignorati. Gli effetti di modalità trasversale non sono considerati per RAPPORTO =1.

  3. I psd modali sono quindi integrati numericamente sul range di frequenza specificata per rallentare i valori medi al quadrato e le covarianze del responso modale. L'integrazione viene portata avanti numericamente usando l'integrazione Gauss dell'ordine 2 o 3 su ogni intervallo di frequenza in base ad un'interpolazione da log a log. Il responso medio al quadrato viene ottenuto sommando i contributi dell'intervallo.
  4. In conclusione, la trasformazione da modale a nodale rallenta gli spostamenti rms, le velocità e le accelerazioni del sistema.

Metodo approssimativo

Il metodo standard di integrazione può essere dispendioso in tempi a causa dell'integrazione numerica delle matrici ampie. Il metodo approssimativo d'integrazione effettua una soluzione semplificata facendo le seguenti considerazioni:
  • ignorando il responso di modalità trasversale, Sx(ω), questo è il risultato di una modalità sull'altra, ovvero

    (Equazione 1)

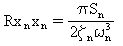
  • Il psd delle eccitazioni è considerato costante intorno ad ogni modalità. Quindi, ogni modalità viene considerata eccitata dal "rumore bianco" con densità spettrale Sn, dove;

    (Equazione 2)

    ωn è la frequenza naturale della modalità n (n = 1,2,...nf).

    Per il rumore bianco, i responsi medi al quadrato possono essere determinati analiticamente per i responsi modali:

    (Equazione 3)

    (Equazione 4)

     (Equazione 5).



Fornisci il feedback su questo argomento

SOLIDWORKS apprezza il feedback degli utenti relativamente alla presentazione, la precisione e l'esaustività della documentazione. Usare il modulo riportato di seguito per inviare i propri commenti e suggerimenti su questo argomento direttamente al nostro team della documentazione. Questo team non è in grado di rispondere a domande di natura tecnica. Fare clic qui per informazioni sul supporto tecnico.

* Obbligatoria

 
*Email:  
Oggetto:   Feedback sugli argomenti della guida
Pagina:   Metodi di integrazione
*Commento:  
*   Confermo di aver letto e accettato l'informativa sulla privacy che regola l'utilizzo dei miei dati personali da parte di Dassault Systèmes

Stampa argomento

Selezionare il contenuto da stampare:

x

L'utente utilizza una versione di Internet Explorer precedente alla versione 7. Per una visualizzazione ottimale, consigliamo di fare l'upgrade del proprio browser a Internet Explorer 7 o successiva.

 Non mostrare nuovamente questo messaggio
x

Versione contenuto guida Web: SOLIDWORKS 2016 SP05

Per disattivare la guida Web dall'interno di SOLIDWORKS e usare invece la guida locale, fare clic su ? > Usa la guida Web di SOLIDWORKS.

Per segnalare i problemi riscontrati con l'interfaccia e la funzionalità di ricerca della guida Web, contattare il rappresentante del supporto locale. Per fornire un feedback su singoli argomenti della guida, usare il link "Feedback su questo argomento" nella pagina del singolo argomento.