分析程序 - 諧波

諧波分析會估計系統至諧波負載的最高點穩定狀態回應。

在每個求解步階中,所有套用的負載以及基座激振都會有相同的頻率。量值是由相關的頻率曲線所定義。

假設諧波節點的力向量 {P} 定義如下:

(方程式 1)或 (方程式 2),

其中:

Pk 是以第 k 個自由度為方向的力的量值

ω 為激振頻率,而且

γk 是力的相位角。

在線性系統中,系統的動作方程式已重新耦合至 n 個形式方程式中:

(方程式 3)。

將力向量 {P} 代入 (方程式 3) 中會產生:

(方程式 4),其中

(方程式 5)

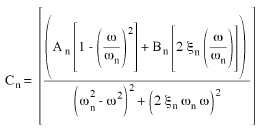
(方程式 4) 的穩態解答為:

(方程式 6)。

(方程式 6) 的實部為:

(方程式 7) 其中

(方程式 8) 和

(方程式 9)。

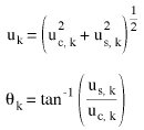
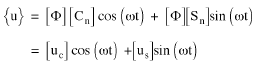
位移向量 u 的計算公式如下:

(方程式 10) 或

(方程式 11)

位移 uk 的量值以及第 k 個自由度的對應相位角 θk 為:

(方程式 12)

速度與加速度回應衍生自 (方程式 11) 的衍生值。它們的振幅為:

(方程式 13)

速度與加速度相位角為90º 和 180º,超出相對於位移相位角的相位。