積分方法

下列的積分方法會用於隨機振動研究。

標準方法

隨機振動分析的標準方法會依照下列程序進行:
  1. 在每個請求的自然模式循環選擇某些頻率點。 這些頻率點的位置需視 Biasing 參數 p 的值而定。

    如果 Biasing 參數為 1.0,所有頻率點會一致地分佈在自然頻率之間。如果 Biasing 參數大於 1.0,則會選擇接近自然頻率的點。頻率點和 Biasing 參數的預設值會以第一個模式之阻尼比例 ζ 的函數提供。如需有關選擇頻率點的圖例,請按一下此處。

    頻率點的預設值以及作為 ζ 之函數的 Biasing 參數如下:

    形式阻尼比例 頻率數目(預設) Biasing 參數(預設)
    ζ < 0.01 21 11
    0.01 < ζ < 0.1 21-4.34 ln(ζ /0.01) 11-3.47 ln(ζ /0.01)
    ζ > 0.1 11 3

    套用預設值的軟體已提供在表 1,且已經為頻率點數量Biasing 參數定義為零 (0)。

  2. 回應的形式 psd 是在每個頻率點進行評估。交換模式截止比率 (RATIO) 會對所有可能的自然頻率配對的比例設制 (wi / wj, i > j)。

    這意味帶有 wi / wj > RATIO 的每個模式配對中,互譜密度項會被忽略。交換模式效應不會被視為 RATIO =1。

  3. 形式 psd 接著會在指定的頻率範圍上進行數值積分,以得出平均方值和形式回應的協方差。數值積分的執行方式是根據對數-對數插值,在每個頻率間隔上使用順序 2 或 3 的高斯 (Gauss) 積分。將間隔貢獻加總可獲得均方回應。
  4. 最後,從形式到節點的轉變可產生系統的 rms 位移、速度與加速度。

約計方法

積分的標準方法在計算時可能因為大量矩陣的數值積分而相當費時。積分的約計方法是藉由進行下列假設來執行簡化的解答:
  • 忽略交換模式回應,Sx(ω),為某個模式在其他模式上的效應,即

    (方程式 1)

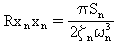
  • 激振的 psd 會被視為每個模式的常數。因此,假設每個模式由「白色雜訊」所激發,頻譜密度 Sn,其中:

    (方程式 2)

    ωn 是模式 n (n = 1,2...nf) 的自然頻率。

    在白色雜訊中,透過分析決定均方回應以獲得形式回應:

    (方程式 3)

    (方程式 4)

    (方程式 5)。