非線性材料模型的典型應力 - 應變曲線:
在以比例加載的應力歷程中,零組件的應力張量彼此依定比成單調性變動的特定情況下,最終狀態的應變換算可以下式表示:
Ds 是正割材料矩陣,Es 是正割模數,而 v 是 Poisson 比
要套入此模型,應定義 Poisson 比以及材料應力-應變曲線。
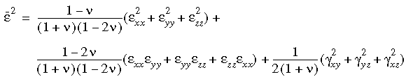
總應變向量 ε 是用來換算有效應變 ε(bar),以便從使用者定義的材料 (應力-應變) 曲線求出正割模數。 在三維空間的情況中:

只要將二維及三維元素稍做修改,應力-應變曲線中的第三 (壓縮) 到第一 (拉伸) 象限即可適用於本模型。 其中使用內插法求出正割及相切材料模數。 定義為體積應變 Φ、有效應變以及 Poisson 比函數的比率 R 時,R 的表達式如下:
需注意的是,R = 1 表示單軸拉伸的情形,而 R = -1 則用於壓縮情形。這兩種情形分別設定為上限及下限,當 R 超過這兩個值時,程式會將其約束在限制範圍內。非線性彈力材料模型可應用在實體及薄殼網格。