此準則係假定在降伏狀態中,在介質的所有點上的最大剪應力皆同,且等於在對已知材料所做的單軸向張力測試而得的降伏應力的一半。
在三維空間的情況中,若滿足下列至少任一項不等式時,即發生降伏:

換句話說,降伏係根據最大剪應力而定,而該最大剪應力等於最大與最小主應力之差的一半。根據此準則,中間主應力不會影響降伏狀態。
在某些設計法規和參考中,Tresca 同等應力定義為等於 (σ1 – σ3) 的兩倍最大剪應力,或是應力強度。
剪應力強度
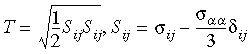
剪應力強度係定義為應力偏量的第二不變量之平方根,可以下式表示:
純剪力狀態
純剪力狀態定義如下:
在此狀態中,剪應力強度與最大剪應力相等:
根據 Tresca 條件可求出降伏點的剪應力為拉伸降伏應力的一半:
根據 von Mises 降伏準則,剪降伏應力等於:
- 等向及動性硬化定律均可在 Tresca 模型中使用。當在偏向空間中的降伏曲面的半徑及中心可相對於負載歷程變化時,會套用等向及動性硬化的線性組合。
-
硬化係數定義等向及動性硬化的比例。
- 對於純粹的等向硬化,硬化係數有 0 的值。降伏曲面的半徑會伸展,但其中心仍保持固定在偏向空間中。
- 對於純粹的動性硬化,硬化係數有 1 的值。降伏曲面的半徑會保持固定,但其中心可在偏向空間中移動。