線形等方性弾性モデル

方向によって材料の特性が変わらない場合、その材料は等方性と呼ばれます。

等方性材料はすべての方向において同じ弾性係数、ポアソン比、熱膨張係数、熱伝導率などを有しています。 等方性という用語は、熱膨張係数の方向を持たない材料を表すためにも使用される場合もあります。

等方性弾性特性を定義するには、弾性係数 E を定義する必要があります。特定の値が指定されない場合、ポアソン比 ν の値は 0.0 とみなされます。 通常のポワソン比の値は 0.3 です。

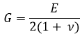
せん断弾性係数 G は、数式からプログラムによって内部的に計算されます:

線形等方性材料に対しては、せん断弾性係数の値を入力する必要はありません。 せん断弾性係数の値を入力する場合、プログラムはそれを無視して、上記の式からせん断弾性係数を計算します。

等方性材料の剛性マトリックスには、2 つの別々の係数のみが含まれています。次に、熱歪みの効果を含む 2 次元および3次元の等方性応力-歪み関係を説明します。

熱効果を含む等方性応力-歪み関係の最も一般的な形態を次に示します。