等方性材料とは異なり、直交異方性材料は互いに直交する方向で異なる強度を持っています。これらの方向に伴う特性 (主応力方向ともいいます) は、弾性係数の最大値です。
直交異方性材料の [D] マトリックスには、9 つの独立した弾性特性があります。さらに、熱膨張に対する3つの特性もあります。
2-D直交異方性応力-ひずみ関係(2-D Orthotropic Stress-Strain Relations)
温度効果を含む2次元での直交異方性応力-ひずみ関係は、次のように記述できます:

弾性モジュールのマトリックスを対称にするために、νxy Ey = νyx Ex となることに注意してください。
弾性係数またはポアソン比に数値を入力するときは、上述の対称条件を満たす必要があります。
また、せん断弾性係数の数値を入力しなかった場合は、プログラムが以下のように算出します:

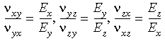
3次元の直交異方性対称条件では、以下が指示されます:
したがって、3次元の直交異方性材料特性を入力する時には、必ず上記の対称条件が侵害されていないことを確認してください。
せん断弾性係数の数値を入力する場合(Gxy、Gyz、Gxz)、プログラムはこれらのユーザー定義の数値を使用します(直交異方性対象条件との互換性がない場合も含む)。
また、せん断弾性係数の数値を入力しなかった場合は、プログラムが以下の関係を使用して算出します:
Ex = Ey = Ez の場合、明示的に指定されていても、せん断弾性係数はプログラムによって内部で計算されます。
ポアソン比が明示されていない場合、プログラムは 0.0 を使用します。