Critério de falha de Tsai-Wu

O critério de Tsai-Wu é aplicado para determinar o fator de segurança para cascas ortotrópicas compostas.

Este critério leva em consideração a energia de esforço total (ambas as energias de distorção e de dilatação) para prever falhas. Ele é mais geral do que o critério de falha de Tsai-Hill porque distingue entre as resistências a falhas de compressão e de tensão.

Para uma tensão plana de estado 2D (σ3 = 0, τ13 =0, τ23 =0), o critério de falha de Tsai-Wu é expresso como:

TsaiWU_Failure_Index

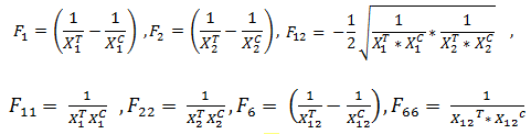
Os coeficientes Fij do critério de falha de Tsai-Wu ortotrópico são relacionados aos parâmetros de resistência de material da lâmina e são determinados por experimentos. Eles são calculados a partir das seguintes fórmulas:

TsaiWu_Coefficients

XT 1 resistência do material à tração do laminado na direção da fibra
XC 1 resistência do material à compressão do laminado na direção da fibra
XT 2 resistência do material à tração do laminado transversal a direção da fibra
XC 2 resistência do material à compressão do laminado transversal a direção da fibra
XT 12 resistência de cisalhamento positiva do laminado
XC 12 resistência de cisalhamento negativa do laminado (o solver a considera igual à resistência de cisalhamento positiva).

O estado de tensão da lâmina calculado pelo programa é descrito pelos componentes: σ1, σ2 e τ12

σ1 tensão do laminado na direção da fibra
σ2 tensão do laminado transversal à direção da fibra
τ12 tensão de cisalhamento do laminado

Direções das camadas de materiais compostos

composite_material_directions.gif

A Direção 1 se refere à direção de orientação da fibra da camada.

A Direção 2 se refere à direção transversal da fibra no plano da camada.

Fator de segurança

O programa reporta o fator e segurança (FOS), que é o coeficiente pelo qual todos os componentes de tensão do laminado devem ser multiplicados para atingir a falha do laminado de acordo com o critério de Tsai-Wu indicado acima. O FOS para a falha do laminado é calculado em:

Tsai-Wu_FOS , onde os coeficientes são dados por:

Tsai-Wu_FOS_Coefficients

Um fator de segurança superior a 1,0 indica que o laminado está seguro contra falha.

O critério de falha de Tsai-Wu não pode prever modos de falha diferentes, inclusive falha de fibra, de matriz e de interface entre fibra e matriz.