Демпфирование по Релею

Симметричная матрица демпфирования [C] n x n сформулирована в качестве линейной комбинации матриц масс [M] и жесткости [K]:

(Уравнение 1).

  • Коэффициент Альфа: Устанавливает коэффициент пропорциональности массы α.
  • Коэффициент Бета: Устанавливает коэффициент пропорциональности жесткости β.

Тип демпфирования, описанный в (Уравнении 1), называется демпфирование по Релею или пропорциональное демпфирование.

Настоящая форма [C] является ортогональной по отношению к системе собственных векторов.

После применения модального преобразования координат матрица модального демпфирования [c] становится диагональной:

(Уравнение 2).

Можно определить демпфирование по Релею для линейных и нелинейных динамических исследований.

Отношение коэффициентов Релея и коэффициента модального демпфирования

Матрица модального демпфирования [c] получается из:

(Уравнение 3).

Коэффициент вязкостного демпфирования ci для i-той моды подсчитан по:

(Уравнение 4),

и коэффициент вязкостного демпфирования ζi выражается как:

(Уравнение 5).

Если коэффициент демпфирования для i-той и j-той мод являются ζi и ζj, то коэффициенты по Релею α и β рассчитываются с помощью решений алгебраических уравнений.

(Уравнение 6).

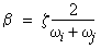
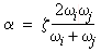
Если обе моды имеют одинаковый коэффициент демпфирования ( ζi = ζj = ζ), то значения α и β получаются из:

(Уравнение 7) (Уравнение 8)

Коэффициент вязкостного демпфирования ζ любой другой моды изменяется с частотой, как показано на рисунке: