SOLIDWORKS Simulation は、ピン結合を、指定された軸剛性または回転剛性を持つ梁として内部的に表します。 梁の各端節点は、接続された円筒面(またはシェル エッジ)の中心に位置します。
剛体結合タイプの場合、剛体棒要素は梁の端節点を円筒面節点に接続します。 ピンに接続された面はすべて、荷重を加えても同軸のままで、元の形状を維持します。 これらの円筒面は、ピン結合の軸剛性および回転剛性に応じて、剛体として相対的に移動できます。 剛体領域が導入されたため、ピン結合の近くに応力ホット スポット領域が見られる場合があります。 応力ホット スポットは、円筒面から直径 1 つ分、離れた領域で消失するまで、距離に応じて徐々に減少します。
線形静解析スタディの場合のみ、ピン結合の分布結合理論を選択できます。 分布結合は、添付された円筒面の節点(結合節点)の動きを平均的な意味での梁終了節点(参照節点)の並進と回転に拘束します。 分布結合を使用すると、円筒面の結合節点を、相対的に移動できます。 分布結合タイプは、ピン結合の近くでより現実的な応力と変位フィールドを生成します。
ピンの軸剛性は、ピンに接続された円筒面(または円形エッジ)間の相対的な軸方向の動きを定義します。 ピンの回転剛性は、円筒面(または円形エッジ)間の相対的な回転移動を定義します。 2 つ以上の円筒面またはエッジを接続するピンの場合、ソフトウェアは各ピン セグメントの幾何特性(断面面積、慣性モーメント、長さなど)に基づいて軸剛性と回転剛性を再分布します。 ピン セグメントは 2 つの連続する円筒面を接続し、2 つの端ジョイントを持ちます。 各ピン ジョイントは、接続された円筒面または円形エッジの中心に位置します。
ピン結合力のリスト表示
ソルバーは、各ピン セグメントの 2 つの端ジョイントにおける結合力を計算します。
たとえば、ヒンジ プレートの 4 つの円筒を接続する 1 つのピン定義の場合、下に示すようにソルバは 4 つのピン ジョイントでのピン荷重を計算してリストします。 各ピン ジョイントは、ピンに接続されている各円筒面の中心点に位置しています。
ソフトウェアは、ピンのローカル座標系を基準に、接続ジョイントごとに 4 つの力をリストします。 ピンの断面図と、ジョイントで計算された力が表示されます。
-
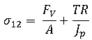
FA = ピンの断面を横切る軸力
正の軸力はピン セグメントに張力がかかっていることを示し、負の軸力は圧縮を示します。 ソフトウェアは、ピン ジョイントのピン結合荷重としてピン セグメントに作用する荷重をレポートします。 ピン セグメントに対する荷重のバランスは、ジョイントにおける結合荷重のリストで考慮されません。
- FV = ピンの断面を横切るせん断力
- Mb = 曲げモーメント
- T = トルク
連続したピン セグメントに共通のピン ジョイント(たとえば、下図のジョイント 2)の場合、ソルバは、共通ジョイントの左側と右側の 2 セットのピン結合力を計算します。 次の図は、3 つの円筒面に 2 つのピン セグメント(青)が接続されたピン結合の断面を表しています。

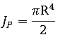
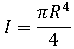
ピン結合の半径 R は、ピンに接続されている円筒面または円形エッジの半径です。 単一ピン結合定義のピン セグメントは、異なる半径を持つことができます。
ソルバは、共通ジョイントの左側と右側の von Mises 応力を計算します。 ソフトウェアは von Mises 応力を比較し、最高の von Mises 応力を生成するピン力のセットを(左側または右側から)リストします。
一般的な平面応力ケースの von Mises 応力は、次の式で求められます:

、
、
、
ピン結合の合否判定安全性チェックの場合、ソフトウェアは von Mises 応力基準に基づいて組み合わせた最大荷重を持つピン ジョイントを選択し、ピンの安全率を評価します。 SOLIDWORKS Simulation ヘルプ: ピン結合 - 安全性チェックのトピックを参照してください