Tsai-Wu 실패 기준

Tsai-Wu 기준은 복합 직교 이방성 쉘에 대한 안전 계수를 결정하기 위해 적용됩니다.

이 기준은 예상되는 실패에 총 변형 에너지 (변형 에너지와 변경 에너지)를 고려합니다. 이 기준은 압축 실패 강도와 인장 실패 강도를 구분하므로 Tsai-Hill 실패 기준보다 더 일반적입니다.

2D 상태 평면 응력(σ3 = 0, τ13 =0, τ23 =0)의 경우, Tsai-Wu 실패 기준은 다음과 같이 표현됩니다.

TsaiWU_Failure_Index

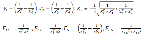
직교 이방성 Tsai-Wu 실패 기준의 계수 Fij는 합판재의 재질 강도 파라미터와 관련되며 실험으로 결정됩니다. 다음과 같은 공식으로 계산됩니다.

TsaiWu_Coefficients

XT 1 섬유 방향을 따라 합판재의 인장 재질 강도
XC 1 섬유 방향을 따라 합판재의 압축 재질 강도
XT 2 섬유 방향과 교차하는 합판재의 인장 재질 강도
XC 2 섬유 방향과 교차하는 합판재의 압축 재질 강도
XT 12 합판재의 양의 전단 강도
XC 12 합판재의 음의 전단 강도(솔버에서 양의 전단 강도와 동일하게 간주)

프로그램에서 계산된 합판재의 응력 상태는 다음 요소로 설명됩니다. σ1, σ2 및 τ12

σ1 섬유 방향을 따라 합판재 응력
σ2 섬유 방향과 교차하는 합판재 응력
τ12 합판재 전단 응력

복합재 플라이 재질 방향

composite_material_directions.gif

방향 1은 플라이의 섬유 방향을 나타냅니다.

방향 2는 플라이 평면의 반대 섬유 방향을 나타냅니다.

안전 계수

프로그램은 위에 설명된 Tsai-Wu 조건에 따라 합판재 실패에 도달하려면 모든 합판재 응력 요소가 곱해져야 하는 계수인 안전 계수(FOS)를 보고합니다. 합판재 실패에 대한 FOS는 다음으로 계산됩니다.

Tsai-Wu_FOS , 여기에서 계수는 다음으로 제공됩니다.

Tsai-Wu_FOS_Coefficients

1.0보다 큰 안전 계수는 합판재가 실패로부터 안전함을 나타냅니다.

Tsai-Wu 실패 기준은 섬유 파손, 매트릭스 파손, 파이버 매트릭스 파손을 포함한 다른 실패 모드를 예측하지 못합니다.