Mówi się, że materiał jest izotropowy, jeżeli jego właściwości nie zmieniają się przy zmianie kierunku.
Materiały izotropowe mają identyczny współczynnik sprężystości wzdłużnej, współczynnik Poissona, współczynnik rozszerzalności cieplnej, współczynnik przewodzenia ciepła itp. we wszystkich kierunkach. Termin „izotermiczny” jest czasami używany w odniesieniu do materiałów, które nie mają preferowanych kierunków dla współczynników rozszerzalności cieplnej.
Aby zdefiniować właściwości sprężyste izotropowe, należy zdefiniować współczynnik sprężystości wzdłużnej E. Jeśli nie podano żadnej określonej wartości, program przyjmuje wartość 0.0 dla współczynnika Poissona ν. Często przyjmuje się wartość współczynnika Poissona = 0.3.
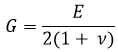
Współczynnik sprężystości poprzecznej G jest obliczany wewnętrznie przez program ze wzoru:
Nie trzeba wprowadzać wartości współczynnika sprężystości poprzecznej dla liniowego sprężystego materiału izotropowego. W przypadku wprowadzenia wartości współczynnika sprężystości poprzecznej program ignoruje ją i oblicza współczynnik sprężystości poprzecznej z powyższego wzoru.
Macierz sztywności dla materiału izotropowego zawiera tylko dwa niezależne współczynniki. Poniższe fragmenty opisują izotropowe relacje rozciągania w dwóch i trzech wymiarach, włączając wpływ odkształceń termicznych.
Poniżej przedstawiono najogólniejszą postać izotropowych relacji rozciągania z uwzględnieniem efektów termicznych: