O SOLIDWORKS Simulation representa internamente um conector de pinos como uma viga com uma rigidez axial ou rotacional especificada. Cada nó final da viga está localizado no centróide da face cilíndrica (ou borda da carcaça) conectada.
Para um tipo de conexão rígida, os elementos de barra rígida conectam os nós terminais da viga aos nós de face cilíndrica. Todas as faces conectadas ao pino permanecem coaxiais sob carregamento e mantêm a forma original. Essas faces cilíndricas podem se mover como corpos rígidos, uma em relação a outra, dependendo das características de rigidez axial e rotacional do conector de pino. Devido à introdução de regiões rígidas, você pode observar áreas de pontos de tensão perto do conector do pino. Os pontos de tensão diminuem gradualmente com a distância, até desaparecerem em regiões a cerca de um diâmetro das faces cilíndricas.
Apenas para estudos estáticos lineares, é possível selecionar uma formulação de acoplamento distribuído para conectores de pinos. A distribuição do acoplamento restringe o movimento dos nós das faces cilíndricas anexadas (nós de acoplamento) à translação e rotação do nó final da viga (nó de referência) em um sentido médio. O acoplamento distribuído permite que os nós de acoplamento da face cilíndrica se movam em relação um ao outro. O tipo de conexão distribuída produz campos de tensão e deslocamento mais realistas nas proximidades dos conectores de pinos.
A rigidez axial de um pino define o movimento axial relativo entre as faces cilíndricas (ou arestas circulares) conectadas a um pino. A rigidez rotacional de um pino define o movimento rotacional relativo entre as faces cilíndricas (ou arestas circulares). Para um pino que conecta mais de duas faces ou arestas cilíndricas, o software redistribui a rigidez rotacional com base nas características geométricas de cada segmento de pino (como área da seção, momento polar de inércia e comprimento). Um segmento de pino conecta duas faces cilíndricas consecutivas e tem duas juntas de extremidade. Cada junta de pino fica no centro da face cilíndrica conectada ou da aresta circular.
Liste as forças do conector de pino
O solver calcula as forças do conector nas duas juntas de extremidade de cada segmento de pino.
Por exemplo, para uma definição de pino único conectando quatro cilindros de uma placa articulada, como mostrado abaixo, o solver calcula e lista as forças do pino em quatro juntas de pino. Cada junta de pino fica no centro de cada face cilíndrica conectada a um pino.
O software lista quatro forças por junta de conector em relação ao sistema de coordenadas local do pino. Uma imagem da seção transversal de um pino com as forças calculadas em uma junta é mostrada.
-
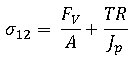
FA = força axial na seção transversal do pino
Uma força axial positiva indica que o segmento do pino está sob tensão; uma força axial negativa indica compressão. O software relata as cargas que atuam em um segmento de pino como cargas do conector de pino nas juntas de pinos. Nenhum equilíbrio de cargas para o segmento de pino é considerado para a listagem de cargas de conector nas juntas.
- FV = força de cisalhamento na seção transversal do pino
- Mb = momento de dobra
- T = torque
Para juntas de pinos comuns a segmentos consecutivos de pinos, por exemplo, a junta 2 na figura abaixo, o solver calcula dois conjuntos de forças do conector de pino para os lados esquerdo e direito da junta comum. A imagem ilustra uma seção transversal de um conector de pino com dois segmentos de pino (cor azul) conectados a três faces cilíndricas.
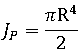
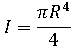
O raio de um conector de pino, R, é o raio da face cilíndrica ou da aresta circular conectada ao pino. Segmentos de pino de uma única definição de conector de pino podem ter diferentes raios.
O solver calcula as tensões de von Mises para os lados esquerdo e direito da junta comum. O software compara as tensões de von Mises e lista o conjunto de forças de pino (do lado esquerdo ou do lado esquerdo) que produzem a tensão de von Mises mais alta.
A tensão de von Mises para um caso de tensão de plano geral é fornecida por:

,
,
, 
Para a verificação de segurança aprovado/reprovado de um conector de pino, o software seleciona a junta de pinos com as cargas combinadas máximas com base no critério de tensão de von Mises para avaliar o fator de segurança do pino. Consulte o tópico de ajuda do SOLIDWORKS Simulation: Conector de pino - Verificação de segurança