Selecione itens, defina opções e exiba os resultados dos cálculos das propriedades de massa.
Para abrir a caixa de diálogo Propriedades de massa:
- Clique em Propriedades de massa
(barra de ferramentas Ferramentas) ou em .
|
Itens selecionados
|
Selecione itens para os quais devem ser calculadas ou atribuídas as propriedades de massa. Ao adicionar, excluir ou alterar itens, clique em Recalcular para exibir novos valores. |
|
Opções
|
Ativa uma caixa de diálogo para que você possa definir opções de exibição dos resultados usando diferentes unidades de medida. Consulte Caixa de diálogo Opções de propriedade de massa/seção. |
|
Substituir propriedades da massa
|
Ativa uma caixa de diálogo para que você possa substituir os valores de massa, centro de massa e momentos de inércia. Consulte Caixa de diálogo Substituir propriedades da massa. Se uma montagem contiver componentes com propriedades de massa substituídas, esses componentes serão listados na parte inferior da caixa de diálogo Propriedades de massa.
|
|
Incluir corpos/componentes ocultos
|
Selecione essa opção para incluir corpos e componentes ocultos nos cálculos. |
|
Criar recurso Centro de massa
|
Adiciona um recurso Centro de massa ao modelo. |
|
Registrar valores de coordenadas relativos a
|
Selecione um sistema de coordenadas se não o tiver definido ainda. |
|
Imprimir
|
Imprime os resultados diretamente desta caixa de diálogo. |
|
Copy to Clipboard
|
Copia os resultados para a área de transferência. |
Quando você salvar o documento, poderá atualizar as informações de propriedades de massa. Isso melhora o desempenho do sistema, visto que ele não precisará recalcular os valores (se o documento estiver inalterado) na próxima vez em que as propriedades de massa forem acessadas. Para definir essa opção, clique em e selecione Atualizar propriedades de massa ao salvar documento.
Resultados
Lista as seguintes propriedades de massa:
- Densidade
- Massa
- Volume
- Área da superfície
- Centro de massa
- Eixos principais de inércia
- Momentos de inércia e produtos de inércia
Na área de gráficos, uma tríade monocromática indica os eixos principais e o centro de massa do modelo. Uma tríade 3D de referência em três cores é exibida na origem.
Você pode usar propriedades de massa ao definir propriedades personalizadas e específicas da configuração. Clique em . Na caixa de diálogo Propriedades, selecione a guia Personalizar ou a guia Propriedades de configuração e clique em Valor/expressão em texto para acessar uma lista suspensa contendo as propriedades de massa.
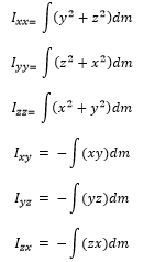
Os momentos de inércia e produtos da inércia são calculados para concordar com as seguintes definições:
 |
 |
| Notação de tensor positivo |
Notação de tensor negativo |
A matriz do tensor de inércia é definido abaixo, a partir dos momentos de inércia:
 |
 |
| Notação de tensor positivo |
Notação de tensor negativo |